Open Access
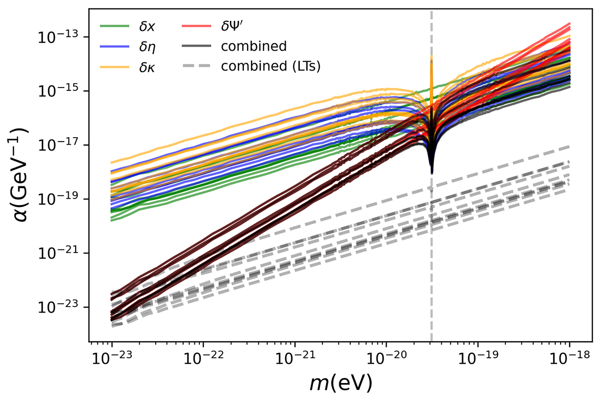
Fig. F.1.

Download original image
J1909-3744, sensitivity lines obtained for each parameter, ten random realisations. The vertical line corresponds to the orbital frequency of the binary. The black solid lines correspond to the combination of all parameters. Dashed lines correspond to the case when the linear terms (LTs) are kept
Current usage metrics show cumulative count of Article Views (full-text article views including HTML views, PDF and ePub downloads, according to the available data) and Abstracts Views on Vision4Press platform.
Data correspond to usage on the plateform after 2015. The current usage metrics is available 48-96 hours after online publication and is updated daily on week days.
Initial download of the metrics may take a while.