Open Access
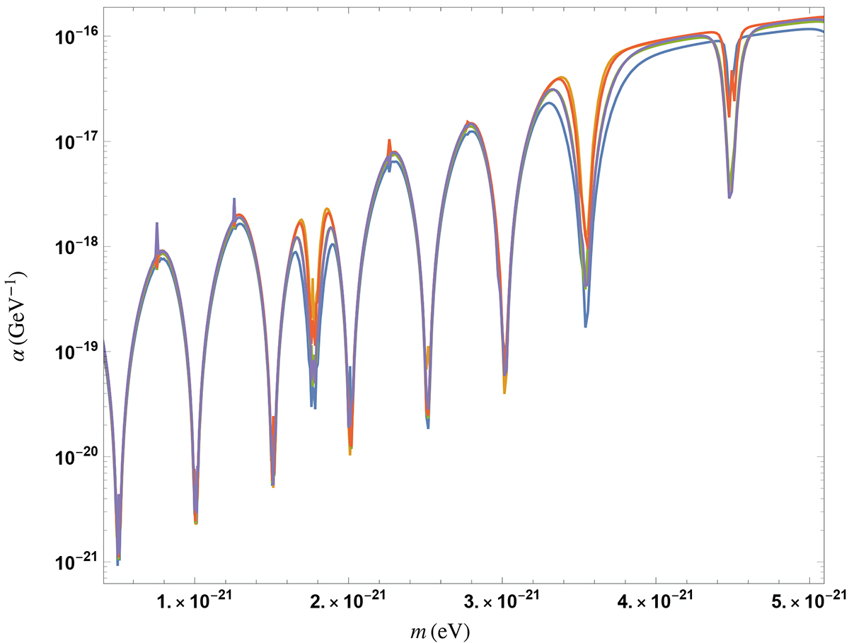
Fig. 7.

Download original image
Sensitivity to α as a function of ULDM mass m for five realisations of the ULDM parameters 𝜚 and Υ, obtained from the combination of the three binary pulsars J1946+3417, J2234+0611 and J1903+0327 as measured by NANOGrav
Current usage metrics show cumulative count of Article Views (full-text article views including HTML views, PDF and ePub downloads, according to the available data) and Abstracts Views on Vision4Press platform.
Data correspond to usage on the plateform after 2015. The current usage metrics is available 48-96 hours after online publication and is updated daily on week days.
Initial download of the metrics may take a while.