Open Access
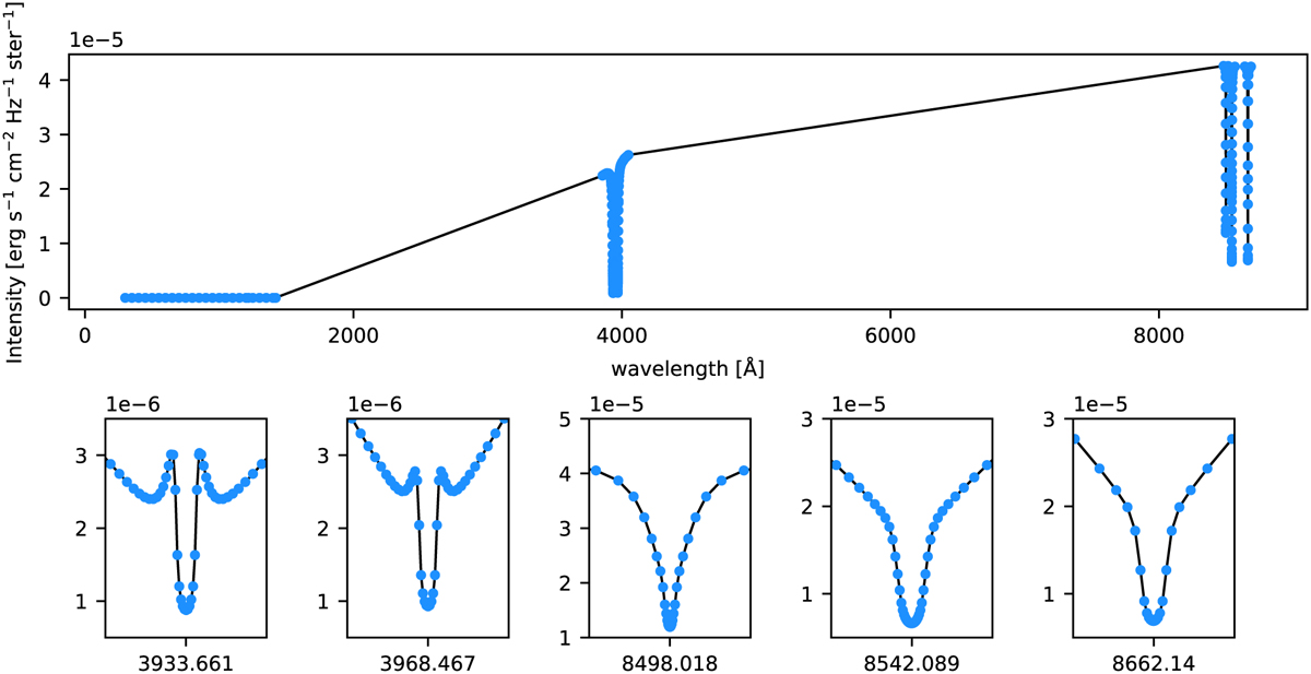
Fig. 9

Download original image
Ca II (six-level) spectrum. In black, we plot the output from the RH92 solver. In blue, we plot the output from the JFNK solver (GMRES) with a Krylov relative tolerance of 10−2.
Current usage metrics show cumulative count of Article Views (full-text article views including HTML views, PDF and ePub downloads, according to the available data) and Abstracts Views on Vision4Press platform.
Data correspond to usage on the plateform after 2015. The current usage metrics is available 48-96 hours after online publication and is updated daily on week days.
Initial download of the metrics may take a while.