Fig. 17.

Download original image
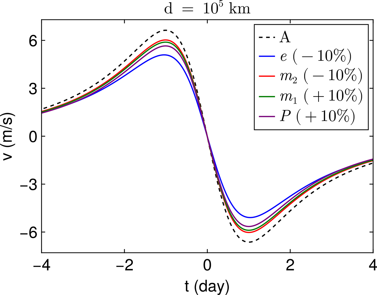
Impact of various orbital parameters on the radial velocity. The black dashed curve represents the radial velocity of A in the orbital parameters mentioned in Section 5.4.1. The blue and red curves respectively represent the orbital eccentricity and the companion mass decreasing by 10%. The green and purple curves respectively represent the NS mass and the orbital period increasing by 10%.
Current usage metrics show cumulative count of Article Views (full-text article views including HTML views, PDF and ePub downloads, according to the available data) and Abstracts Views on Vision4Press platform.
Data correspond to usage on the plateform after 2015. The current usage metrics is available 48-96 hours after online publication and is updated daily on week days.
Initial download of the metrics may take a while.