Open Access
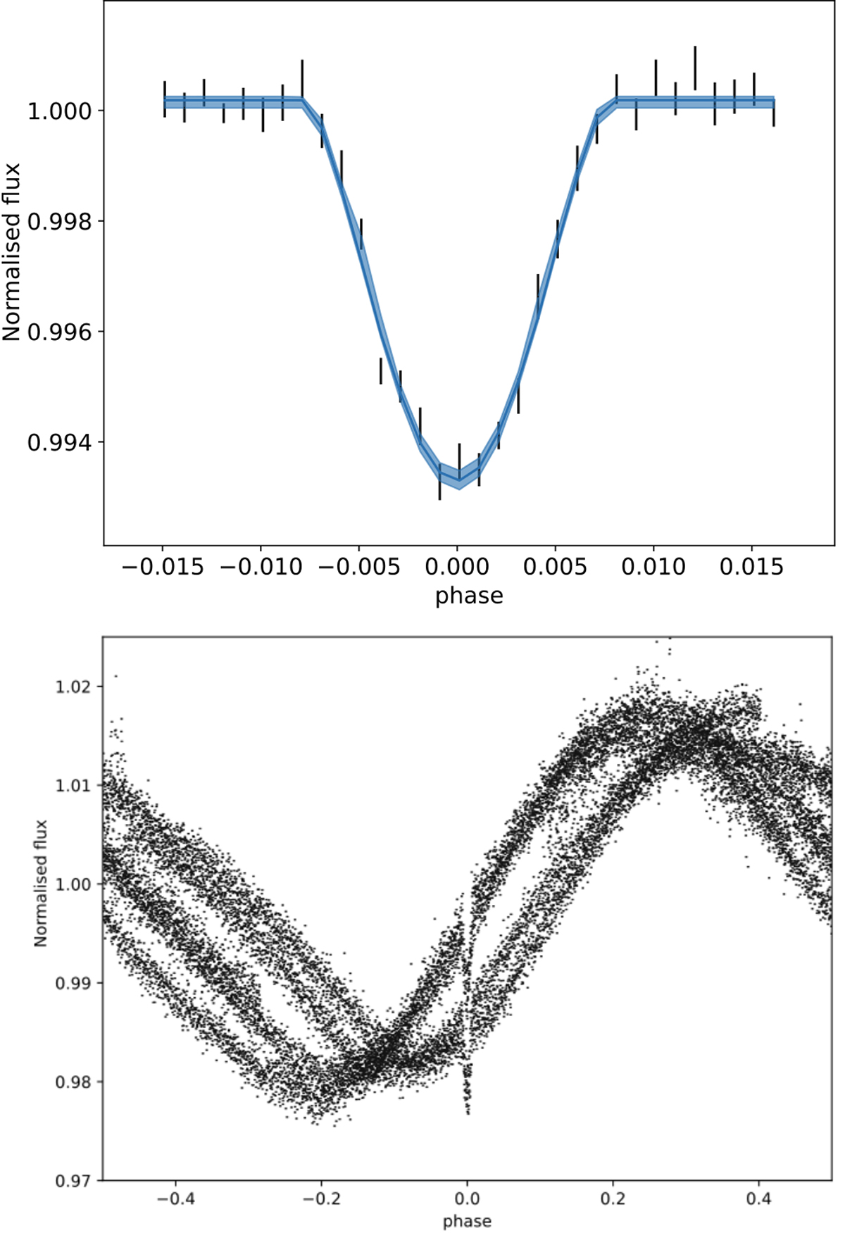
Fig. 13.

Download original image
Light curve of TOI-1788. In the top panel, we can see the primary eclipse. We do not detect any secondary eclipses. Rotation-related changes in the original TESS-SPOC light curve shown in the orbital phase are located in the bottom panel.
Current usage metrics show cumulative count of Article Views (full-text article views including HTML views, PDF and ePub downloads, according to the available data) and Abstracts Views on Vision4Press platform.
Data correspond to usage on the plateform after 2015. The current usage metrics is available 48-96 hours after online publication and is updated daily on week days.
Initial download of the metrics may take a while.