Open Access
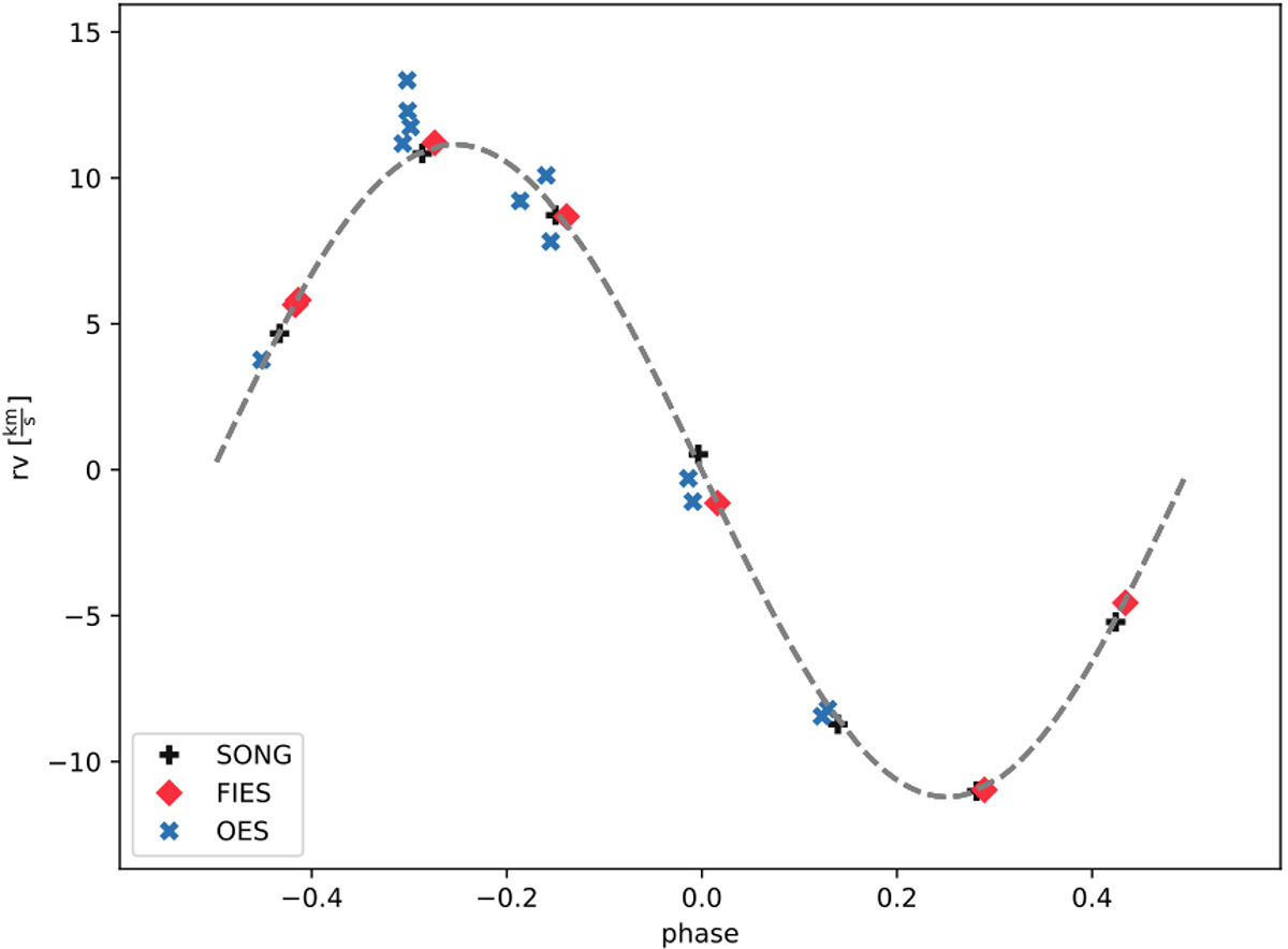
Fig. 3.

Download original image
Radial velocity curve of TOI-416 obtained by OES, SONG, and FIES corrected for the instrumental zero points with the best-fit solution shows a circular orbit of the system. Errors of the data points are smaller than the markers.
Current usage metrics show cumulative count of Article Views (full-text article views including HTML views, PDF and ePub downloads, according to the available data) and Abstracts Views on Vision4Press platform.
Data correspond to usage on the plateform after 2015. The current usage metrics is available 48-96 hours after online publication and is updated daily on week days.
Initial download of the metrics may take a while.