Open Access

Fig. 8

image

Download original image

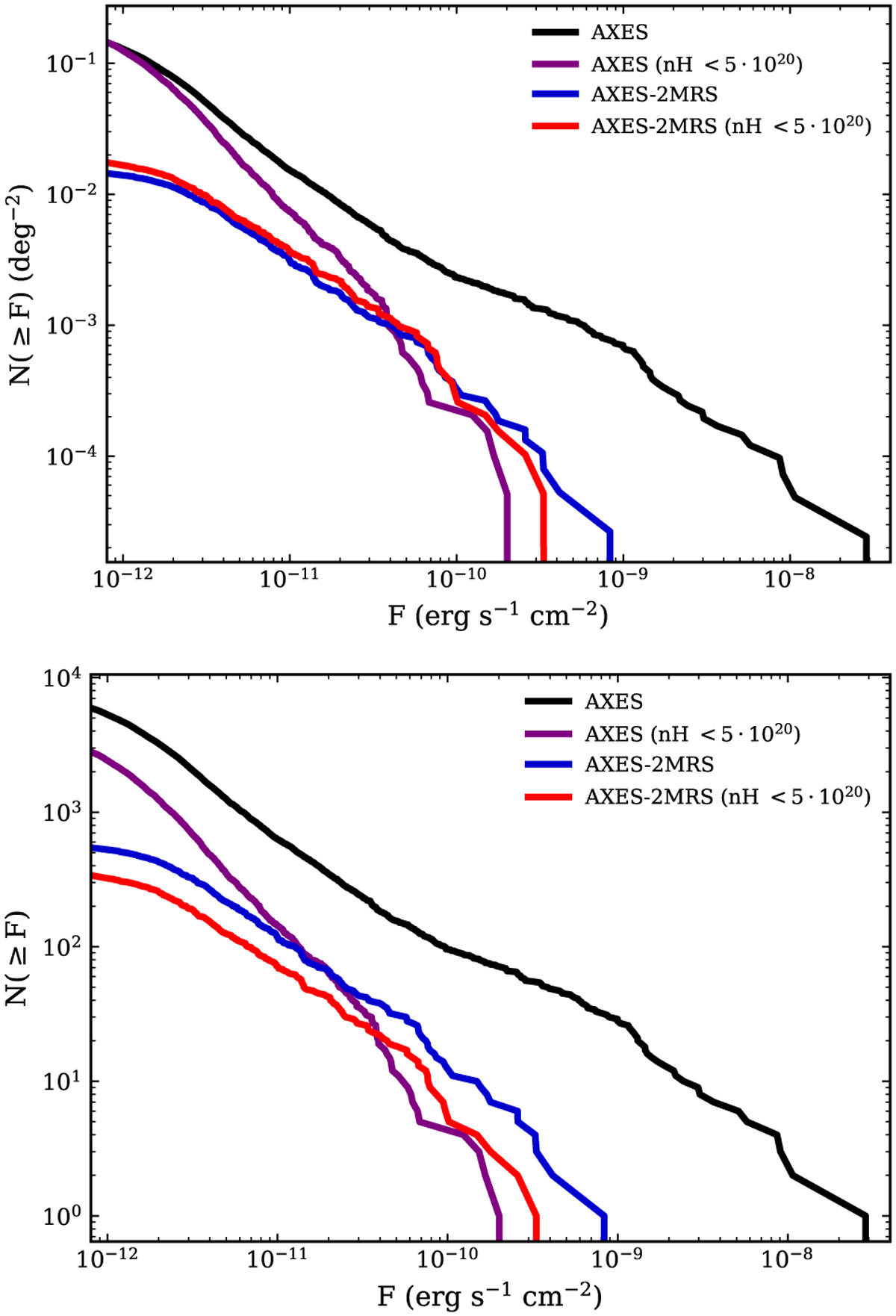
Sky density of AXES X-ray sources and AXES-2MRS groups. Top panel: sky-density of sources as a function of X-ray flux in the 0.5– 2.0 keV band (log N(>S) − log S) for AXES X-ray sources (black), and AXES-2MRS groups (blue). AXES X-ray sources in the extragalactic region (nH < 5 × 1020 cm−2) are shown in purple, while extragalactic AXES-2MRS groups are shown in red. The flux of the AXES-2MRS sources has been extrapolated to R500 , while for AXES we show the measured flux. Bottom panel: cumulative distribution for the X-ray flux in the 0.5–2.0 keV band. Other details are the same as the top panel.

Current usage metrics show cumulative count of Article Views (full-text article views including HTML views, PDF and ePub downloads, according to the available data) and Abstracts Views on Vision4Press platform.

Data correspond to usage on the plateform after 2015. The current usage metrics is available 48-96 hours after online publication and is updated daily on week days.

Initial download of the metrics may take a while.