Open Access
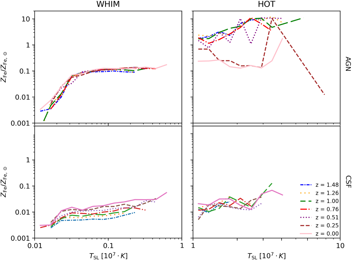
Fig. 12

Download original image
Median values of metallicity ZFe as a function of spectroscopic-like temperature TSL for both WHIM and the hot gas phase at seven different redshifts. The top panel is for the AGN simulations, and the bottom is for the CSF simulations.
Current usage metrics show cumulative count of Article Views (full-text article views including HTML views, PDF and ePub downloads, according to the available data) and Abstracts Views on Vision4Press platform.
Data correspond to usage on the plateform after 2015. The current usage metrics is available 48-96 hours after online publication and is updated daily on week days.
Initial download of the metrics may take a while.