Open Access
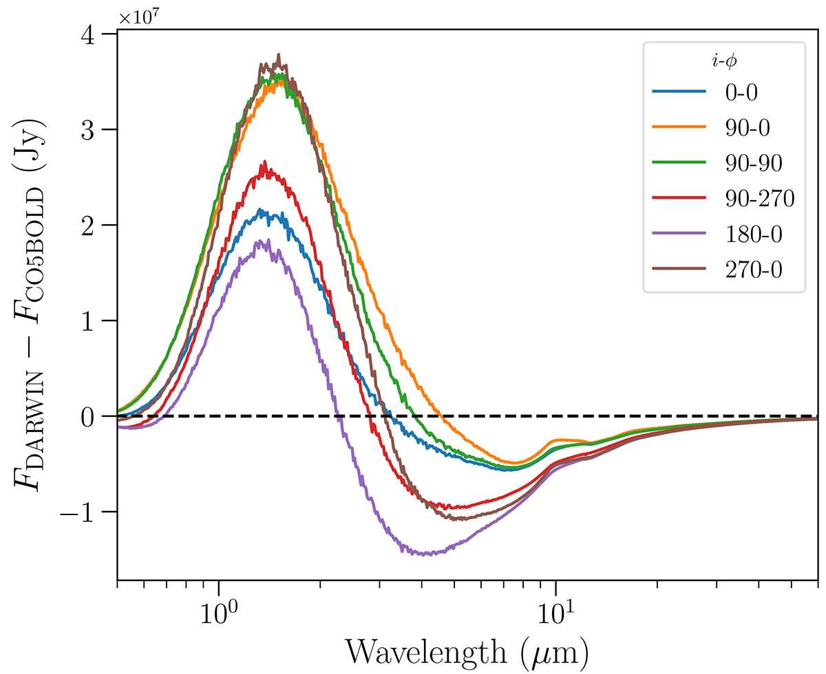
Fig. 10.

Download original image
Differences between SEDs simulated with the star from st28gm06n052 (FCO5BOLD) and the star from M2n315u6 (FDARWIN) at a distance of 1 pc. Both stars are surrounded by dust from st28gm06n052. The six viewing directions are indicated by the sets of angles i and ϕ.
Current usage metrics show cumulative count of Article Views (full-text article views including HTML views, PDF and ePub downloads, according to the available data) and Abstracts Views on Vision4Press platform.
Data correspond to usage on the plateform after 2015. The current usage metrics is available 48-96 hours after online publication and is updated daily on week days.
Initial download of the metrics may take a while.