Open Access

Fig. 10

image

Download original image

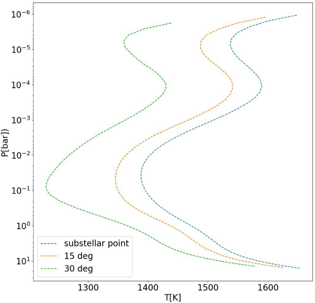
Temperature versus gas pressure structure of our irradiated 1.5D model simulation of an exoplanet with the parameters of WASP-39b at the sub-stellar point (right-most curve), at Θ = 15° and at Θ = 30° (leftmost curve).

Current usage metrics show cumulative count of Article Views (full-text article views including HTML views, PDF and ePub downloads, according to the available data) and Abstracts Views on Vision4Press platform.

Data correspond to usage on the plateform after 2015. The current usage metrics is available 48-96 hours after online publication and is updated daily on week days.

Initial download of the metrics may take a while.