Fig. 2

Download original image
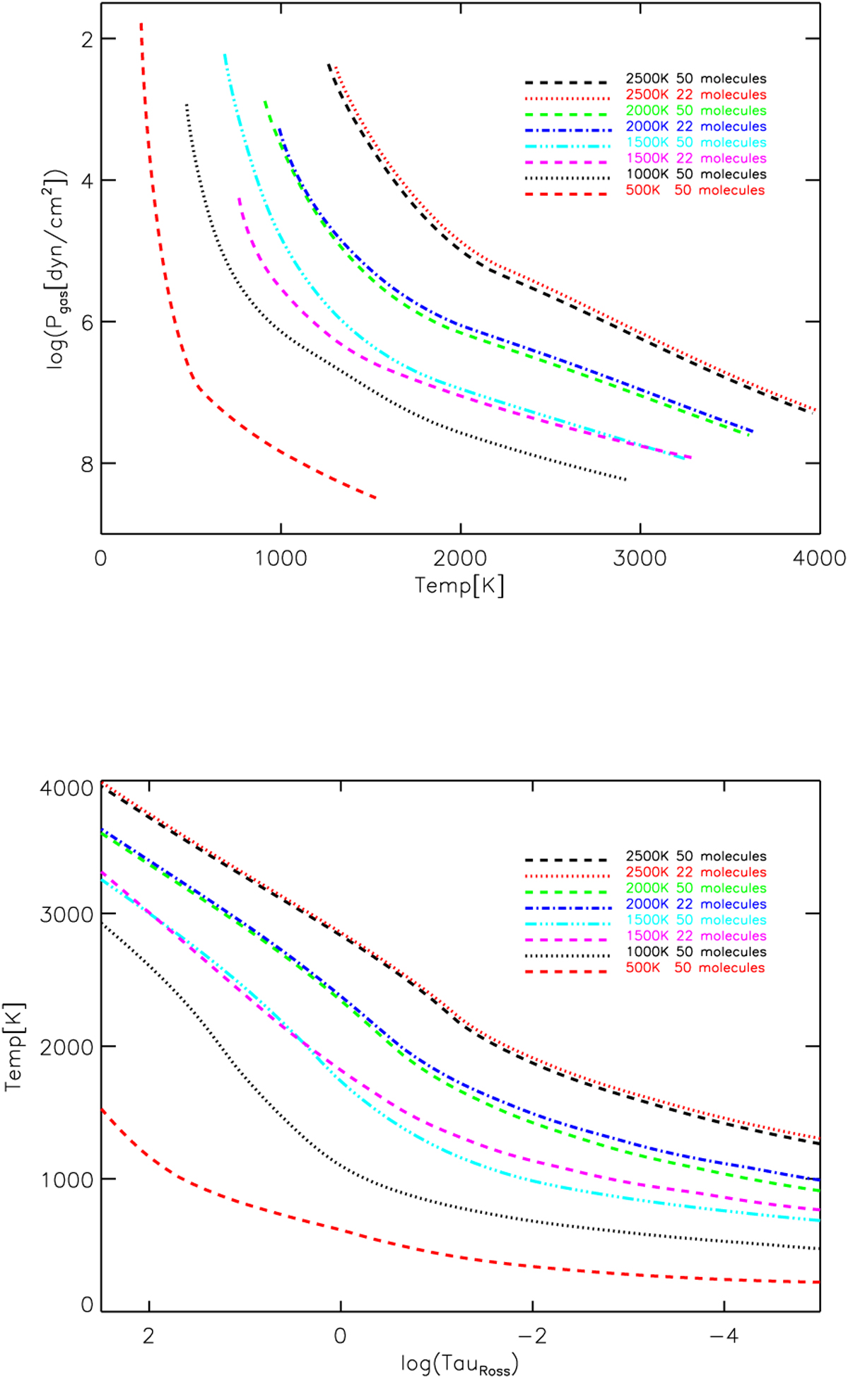
Upper panel shows the T–P𝑔 structure and lower panel the T- τ structure from log(τross) = +2.5 to –5.0 for models with Teff from 2500 K to 500 K. For each Teff, we show a classical MARCS model with 22 molecules in the opacity calculation as well as the models from the present grid (i.e. 50 molecules plus atoms included in the opacity), except for the Teff =1000 K and Teff =500 K models where it has not been possible to converge the models with only 22 molecules.
Current usage metrics show cumulative count of Article Views (full-text article views including HTML views, PDF and ePub downloads, according to the available data) and Abstracts Views on Vision4Press platform.
Data correspond to usage on the plateform after 2015. The current usage metrics is available 48-96 hours after online publication and is updated daily on week days.
Initial download of the metrics may take a while.