Fig. 3

Download original image
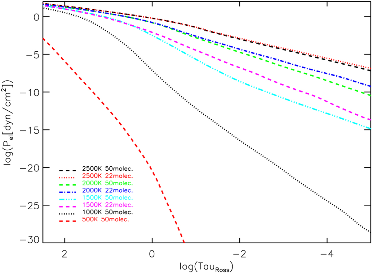
Electron pressure versus optical depth for models with Teff from 2500 K (upper curves) to 500 K (lower curve), computed from log(τross) = +2.5 to –5.0. For the warmer of the models are shown both the results based on including only the original 22 molecular opacities in the equilibrium computation as well as the full set of the 50 molecules, as discussed in the text. For the coolest models only those with opacities from all the 50 molecular opacities adopted in the MSG models could converge.
Current usage metrics show cumulative count of Article Views (full-text article views including HTML views, PDF and ePub downloads, according to the available data) and Abstracts Views on Vision4Press platform.
Data correspond to usage on the plateform after 2015. The current usage metrics is available 48-96 hours after online publication and is updated daily on week days.
Initial download of the metrics may take a while.