Fig. 6

Download original image
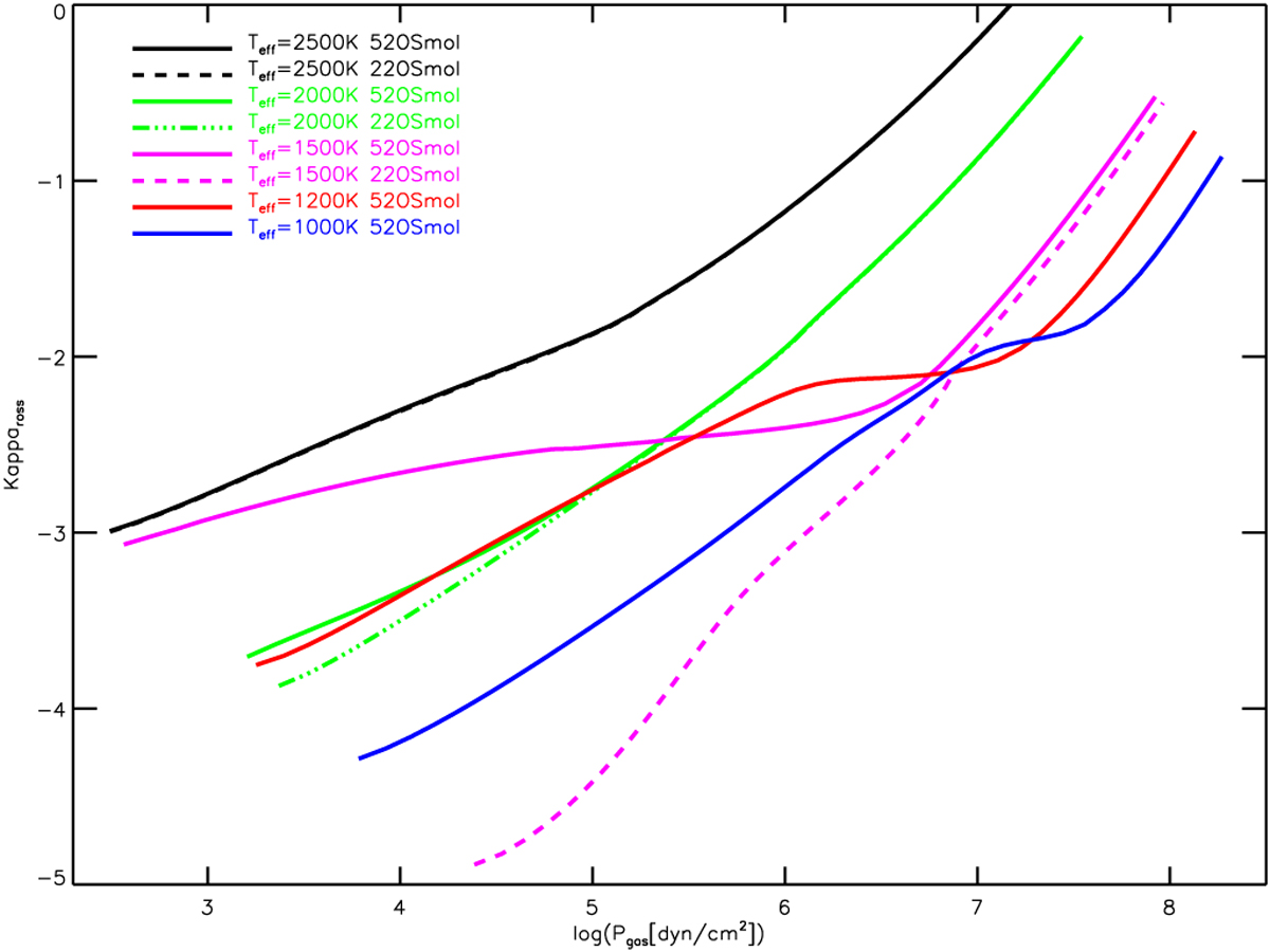
Rosseland mean opacity as function of gas pressure, for models with Teff from 2500 K (upper curves) to 1000 K (lower curves), based on the full set of 52 molecular opacities (full drawn lines) and the original 22 molecular opacities, respectively, in the radiative transfer. Colour coding correspond to the effective temperature of the models, as shown in the figure legends.
Current usage metrics show cumulative count of Article Views (full-text article views including HTML views, PDF and ePub downloads, according to the available data) and Abstracts Views on Vision4Press platform.
Data correspond to usage on the plateform after 2015. The current usage metrics is available 48-96 hours after online publication and is updated daily on week days.
Initial download of the metrics may take a while.