Fig. 8

Download original image
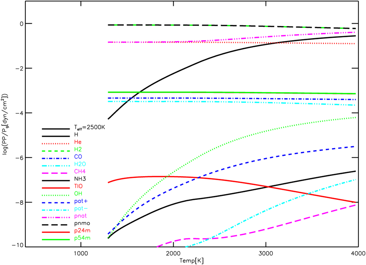
Distribution of the total gas pressure onto its various components for a model of Teff =2500 K. As indicated with the legend, the curves show the partial pressures of the molecules H2 , CO, H2O, CH4 , NH3 , TiO, and OH, the neutral H and He atoms, the sum of all positively charges species (“pel+”), all negatively charged species (“pel-”), sum of the partial pressures of all neutral atoms together (“pnat”), all neutral molecules (“pnmo”), and finally the sum of all the opacity bearing molecules in the classical MARCS models (“p24m”) as well as in the new models presented here (“p54m”). We note that the curves for H2 and all neutral molecules (pnmo) as expected plot on top of one another, as do the curves p24m and p54m (therefore p24m/p54m show as a single full drawn green curve, and the only red curve is for the partial pressure of TiO). The upper black curve is for H and the lower for NH3 .
Current usage metrics show cumulative count of Article Views (full-text article views including HTML views, PDF and ePub downloads, according to the available data) and Abstracts Views on Vision4Press platform.
Data correspond to usage on the plateform after 2015. The current usage metrics is available 48-96 hours after online publication and is updated daily on week days.
Initial download of the metrics may take a while.