Open Access
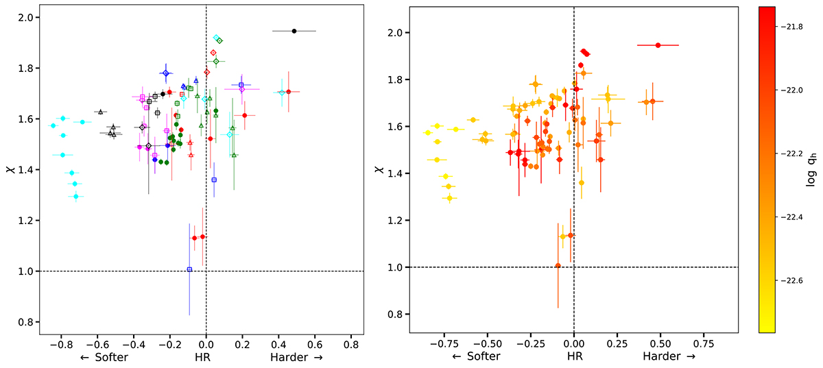
Fig. 8.

Download original image
Plots showing hardness ratio versus dissipation factor divided into four quadrants with dashed lines given by HR = 0 and χ = 1, the latter being a transition between passive and active disk. Different symbols associated with sources are the same as in Fig. 6.
Current usage metrics show cumulative count of Article Views (full-text article views including HTML views, PDF and ePub downloads, according to the available data) and Abstracts Views on Vision4Press platform.
Data correspond to usage on the plateform after 2015. The current usage metrics is available 48-96 hours after online publication and is updated daily on week days.
Initial download of the metrics may take a while.