Fig. 2.

Download original image
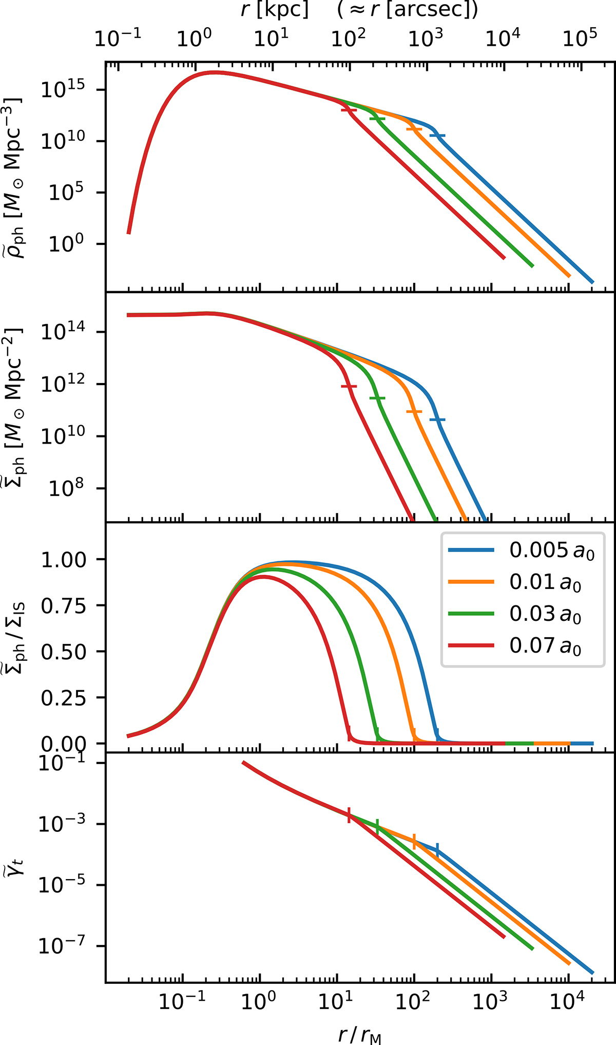
Stacked point masses in randomly oriented external fields. From top to bottom: Row 1: Density of PDM. Row 2: Surface densities obtained by the projection of the volume densities above. Row 3: Ratio of the surface density of the PDM halo and the surface density of the approximating isothermal sphere. Row 4: Tangential shear. The different lines correspond to the indicated various intensities of the external field. The small horizontal line on each curve marks the corresponding radius ref. For the given models, 1 kpc corresponds to 1.03″.
Current usage metrics show cumulative count of Article Views (full-text article views including HTML views, PDF and ePub downloads, according to the available data) and Abstracts Views on Vision4Press platform.
Data correspond to usage on the plateform after 2015. The current usage metrics is available 48-96 hours after online publication and is updated daily on week days.
Initial download of the metrics may take a while.