Fig. 4.

Download original image
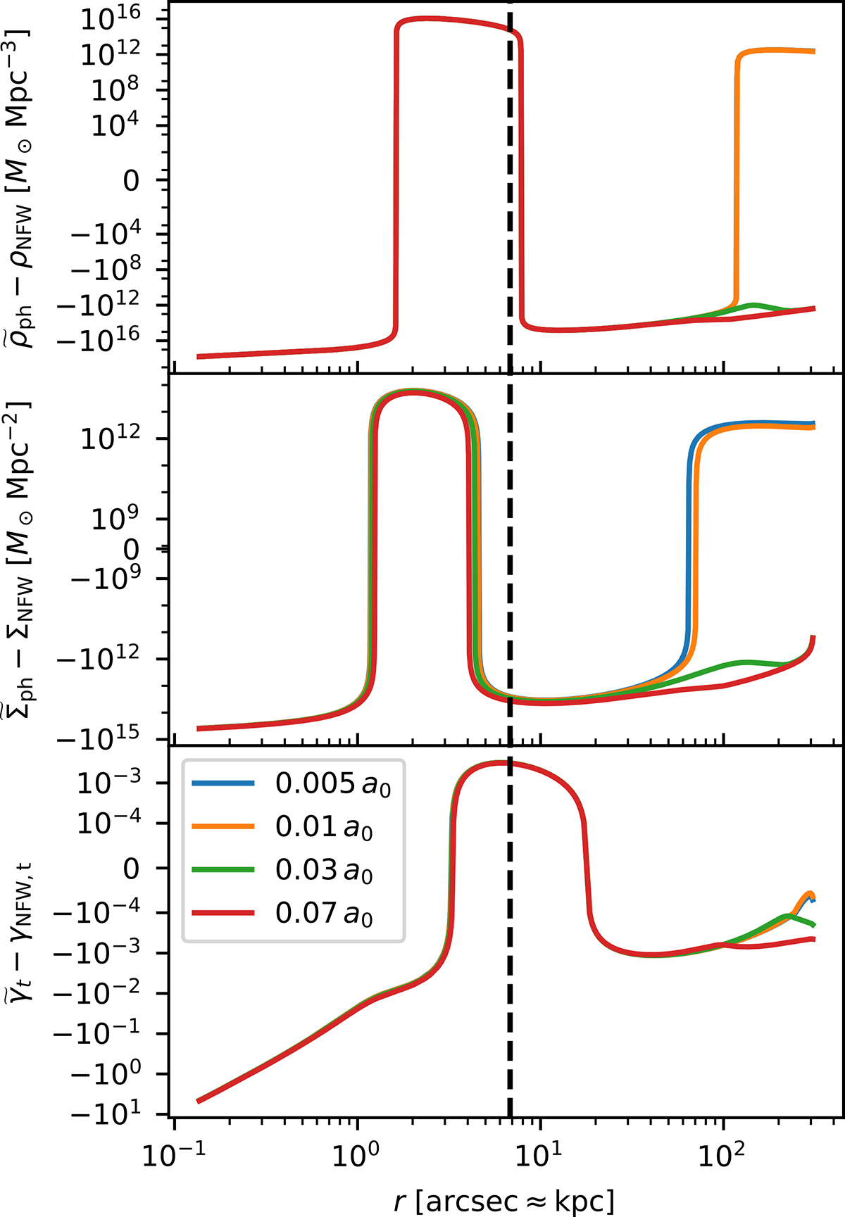
Comparison of a PDM halo to an NFW halo. The point mass has a baryonic mass of 4 × 1010 M⊙ and lies at the distance of 200 Mpc. Row 1: Difference of densities (the curves for ge = 0.005 a0 and 0.01 a0 nearly coincide). Row 2: Difference of surface densities. Row 3: Difference of tangential shears. The sources are assumed to be at infinity. The vertical dashed line indicates the MOND transitional radius rM.
Current usage metrics show cumulative count of Article Views (full-text article views including HTML views, PDF and ePub downloads, according to the available data) and Abstracts Views on Vision4Press platform.
Data correspond to usage on the plateform after 2015. The current usage metrics is available 48-96 hours after online publication and is updated daily on week days.
Initial download of the metrics may take a while.