Open Access

Fig. 13

image

Download original image

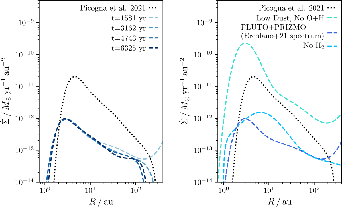
Mass-loss rate per unit area as a function of distance to the star. Left: different times (from light to dark blue with increasing time) for our fiducial model compared to those from Picogna et al. (2021) for the same stellar mass and X-ray spectrum (black). Right: comparing the fiducial model (dark blue) with those where we switch off certain areas of microphysics in order to test their impact.

Current usage metrics show cumulative count of Article Views (full-text article views including HTML views, PDF and ePub downloads, according to the available data) and Abstracts Views on Vision4Press platform.

Data correspond to usage on the plateform after 2015. The current usage metrics is available 48-96 hours after online publication and is updated daily on week days.

Initial download of the metrics may take a while.