Fig. 4

Download original image
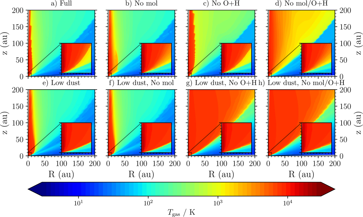
Comparison of the temperatures predicted by PRIZMO when various combinations of cooling processes are switched off or reduced. “No Mol” means that molecular cooling due to H2 and CO are not included. “No O+H” means that collisional excitation of O by H is not included. “Low dust” means that the dust-to-gas mass ratio was lowered to 10−10. Inset panels show the inner 10 au.
Current usage metrics show cumulative count of Article Views (full-text article views including HTML views, PDF and ePub downloads, according to the available data) and Abstracts Views on Vision4Press platform.
Data correspond to usage on the plateform after 2015. The current usage metrics is available 48-96 hours after online publication and is updated daily on week days.
Initial download of the metrics may take a while.