Fig. 7

Download original image
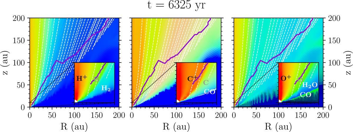
Three-colour images of the major carriers of hydrogen (left), carbon (centre), and oxygen (right). In each case, red colours represent ionised species (H+/C+/O+), green neutral atomic species (H/C/O) and blue molecular species (H2/CO vapour+ice/H2O vapour+ice). Therefore, darker blues indicate highly molecular gas while light blues indicate gas with a significant mix of atomic and molecular species. The solid purple line is the sonic surface.
Current usage metrics show cumulative count of Article Views (full-text article views including HTML views, PDF and ePub downloads, according to the available data) and Abstracts Views on Vision4Press platform.
Data correspond to usage on the plateform after 2015. The current usage metrics is available 48-96 hours after online publication and is updated daily on week days.
Initial download of the metrics may take a while.