Open Access
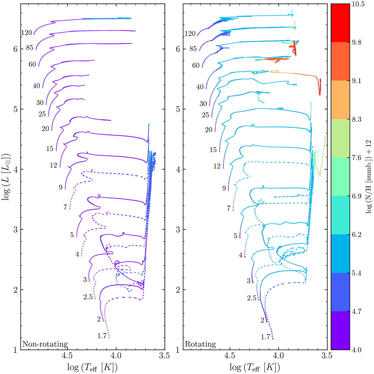
Fig. 1.

Download original image
Evolutionary tracks in the HRD for non-rotating (left) and rotating (right) models, colour-coded according to the surface number abundance of nitrogen log(N/H [numb.]) + 12. Each track is labelled with its initial mass. Every other star below 9 M⊙ is shown with a dashed line in order to better distinguish the models.
Current usage metrics show cumulative count of Article Views (full-text article views including HTML views, PDF and ePub downloads, according to the available data) and Abstracts Views on Vision4Press platform.
Data correspond to usage on the plateform after 2015. The current usage metrics is available 48-96 hours after online publication and is updated daily on week days.
Initial download of the metrics may take a while.