Fig. 2.

Download original image
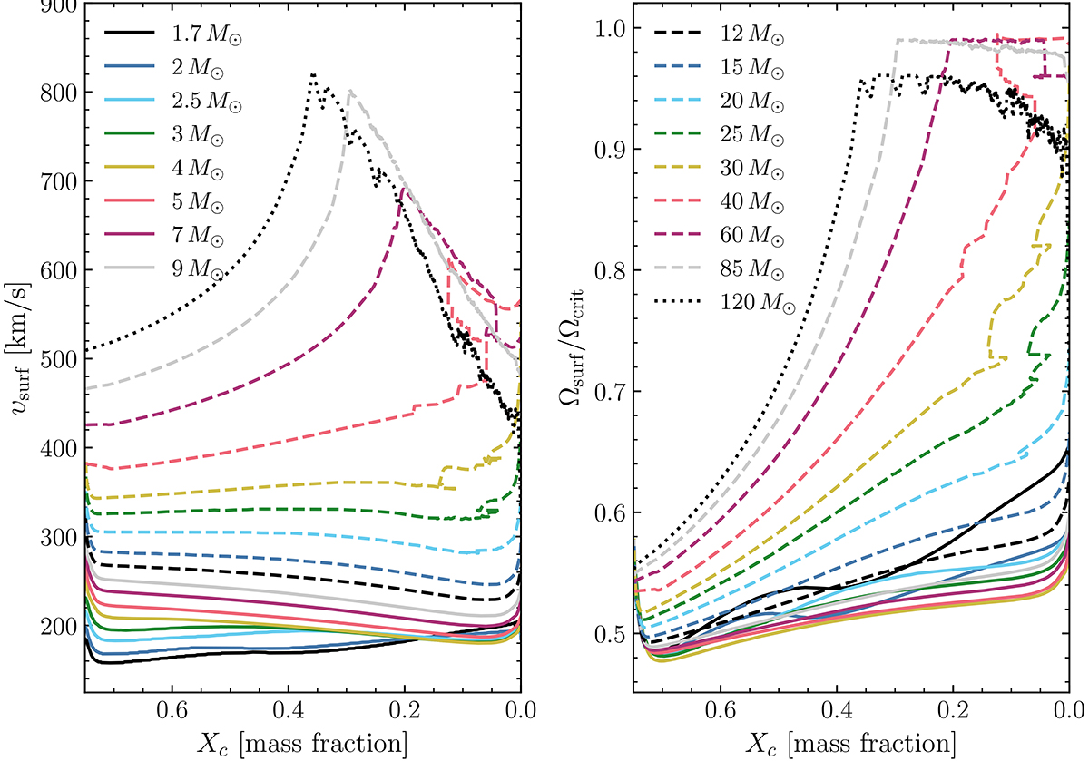
Evolution of the surface rotation velocities of all rotating models during the MS as a function of the central mass fraction of hydrogen Xc. Left panel: Evolution of the surface equatorial velocities. Right panel: Evolution of the ratio of the angular velocity to the critical angular velocity. All rotating stars computed in this work are shown in each panel, and we split the legend into two. The line styles and colours of both plots represent the same stars in each, whose initial masses are indicated in the legends.
Current usage metrics show cumulative count of Article Views (full-text article views including HTML views, PDF and ePub downloads, according to the available data) and Abstracts Views on Vision4Press platform.
Data correspond to usage on the plateform after 2015. The current usage metrics is available 48-96 hours after online publication and is updated daily on week days.
Initial download of the metrics may take a while.