Fig. 5.

Download original image
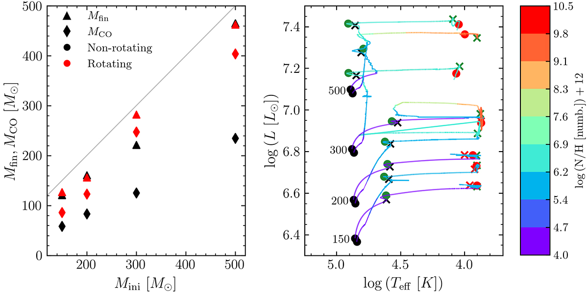
Characteristic masses and evolution in the HRD for the VMSs. Left panel: Final mass (triangles) and mass of the CO core (diamonds) at the end of core helium-burning for non-rotating (black) and rotating (red) VMS models. The grey line corresponds to y = x. Right panel: Evolutionary tracks in the HRD, colour-coded according to the surface enrichment of nitrogen log(N/H [numb.]) + 12. Each pair of (non-rotating, rotating) tracks is labelled with the initial mass of the models. The circles and crosses respectively indicate the beginning and end of each central burning phase (black: hydrogen, green: helium, red: carbon). The non-rotating tracks are the ones that remain purple during the MS.
Current usage metrics show cumulative count of Article Views (full-text article views including HTML views, PDF and ePub downloads, according to the available data) and Abstracts Views on Vision4Press platform.
Data correspond to usage on the plateform after 2015. The current usage metrics is available 48-96 hours after online publication and is updated daily on week days.
Initial download of the metrics may take a while.