Fig. 6.

Download original image
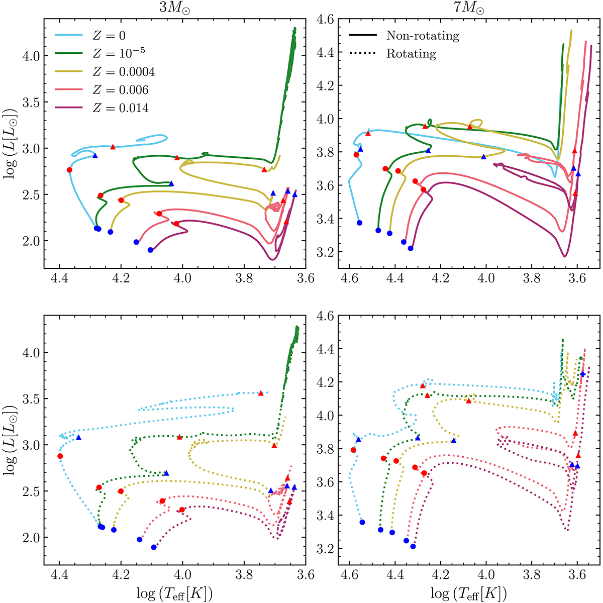
Evolutionary tracks in the HRD of the 3 M⊙ (left column) and 7 M⊙ (right column) models at five different metallicities (Z = 0 (Pop III, from Murphy et al. 2021, blue), Z = 10−5 (EMP, this paper, green), Z = 0.0004 (I Zw 18, from Groh et al. 2019, yellow), Z = 0.006 (Large Magellanic Cloud (LMC), from Eggenberger et al. 2021, pink), and Z = 0.014 (solar, from Ekström et al. 2012, purple). Top panel: Non-rotating models (solid lines). Bottom panel: Rotating models (dotted lines).
Current usage metrics show cumulative count of Article Views (full-text article views including HTML views, PDF and ePub downloads, according to the available data) and Abstracts Views on Vision4Press platform.
Data correspond to usage on the plateform after 2015. The current usage metrics is available 48-96 hours after online publication and is updated daily on week days.
Initial download of the metrics may take a while.