Fig. 7.

Download original image
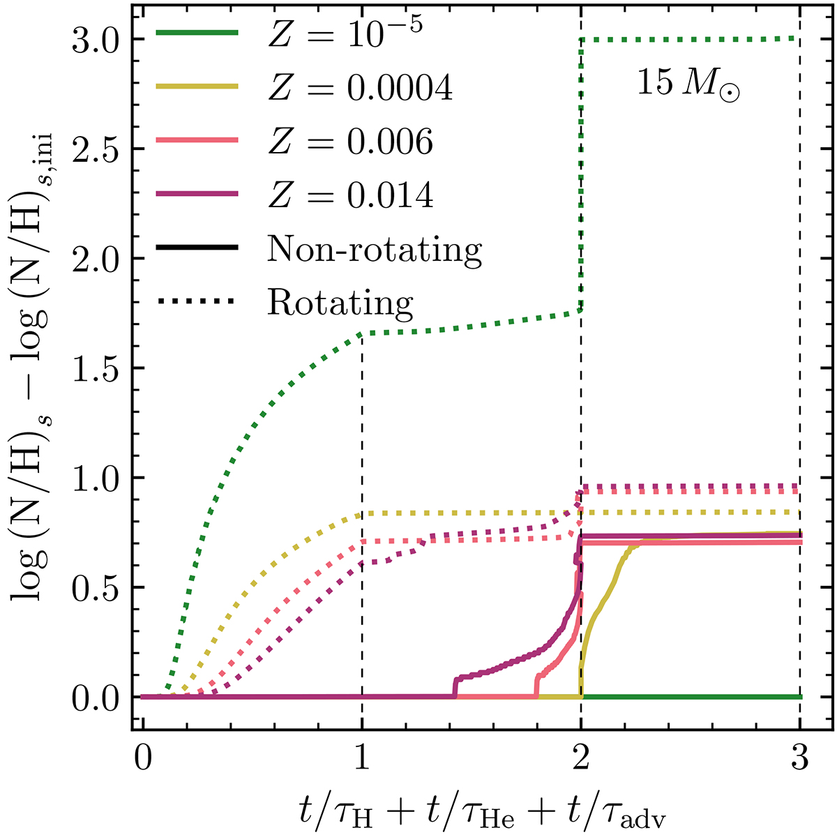
14N surface enrichment log(N/H)s − log(N/H)s, ini over the evolution of the 15 M⊙ models at different metallicities (Z = 10−5 (this paper, green), Z = 0.0004 (I Zw 18, yellow), Z = 0.006 (LMC, pink), Z = 0.014 (solar, purple)). The horizontal axis goes from 0 to 1 for the MS, from 1 to 2 for core helium burning, and from 2 to 3 for the rest of the advanced phases. The Z = 0 models are not shown because their initial 14N is 0. Solid lines: Non-rotating models. Dotted lines: Rotating models.
Current usage metrics show cumulative count of Article Views (full-text article views including HTML views, PDF and ePub downloads, according to the available data) and Abstracts Views on Vision4Press platform.
Data correspond to usage on the plateform after 2015. The current usage metrics is available 48-96 hours after online publication and is updated daily on week days.
Initial download of the metrics may take a while.