Open Access

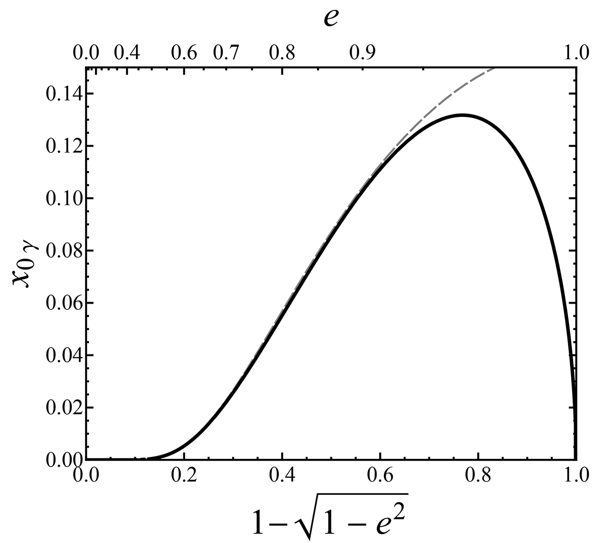
Fig. 6.

image

Download original image

Position of the zero-shear point x0 γ along the minor axis as a function of ellipticity 1 1 e 2 $ 1-\sqrt{1-e^2} $ (linear bottom axis) and eccentricity e (non-linear top axis). Solid black curve: exact value obtained by numerically solving Eq. (46); dashed gray curve: low-eccentricity approximation given by Eq. (47).

Current usage metrics show cumulative count of Article Views (full-text article views including HTML views, PDF and ePub downloads, according to the available data) and Abstracts Views on Vision4Press platform.

Data correspond to usage on the plateform after 2015. The current usage metrics is available 48-96 hours after online publication and is updated daily on week days.

Initial download of the metrics may take a while.