Fig. 3.

Download original image
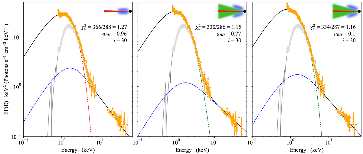
Cyg X-1 spectra for for: Left: Standard accretion disc (red), modeled with KERRBB, and a hot Comptonising plasma (blue) giving the high energy emission – as sketched in the top right corner; model (a). Middle: Standard accretion disc entirely covered by a warm Comptonising plasma (green), and then an inner hot Comptonising plasma (blue); model (b). Right: Same as middle panel, but with the spin fixed at aBH = 0.1. Note: the low BH spin is fully consistent with the X-ray spectral data.
Current usage metrics show cumulative count of Article Views (full-text article views including HTML views, PDF and ePub downloads, according to the available data) and Abstracts Views on Vision4Press platform.
Data correspond to usage on the plateform after 2015. The current usage metrics is available 48-96 hours after online publication and is updated daily on week days.
Initial download of the metrics may take a while.