Fig. B.2.

Download original image
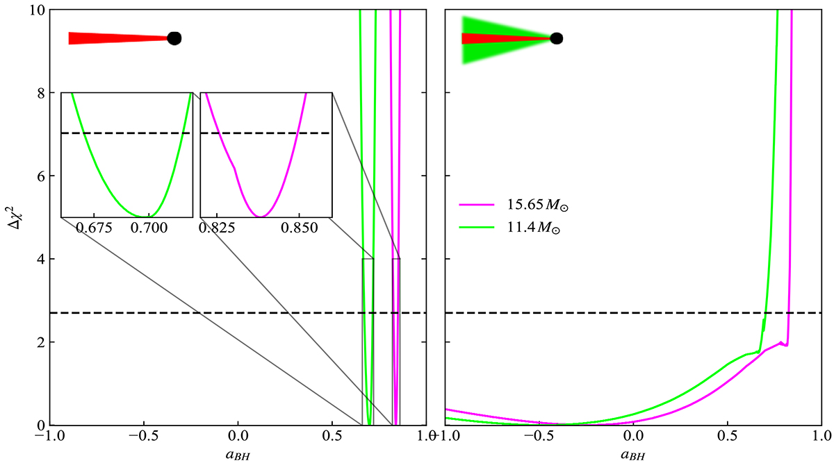
Δχ2 curves with black hole spin as the interesting parameter for our spectral fits to M33-X7. The left panel shows the case for a standard accretion disc model (KERRBB), while the right panel shows the case where there is a warm Comptonising material above the disc (THCOMP*KERRBB). We have included both the previous mass estimate of 15.65 M⊙ (Orosz et al. 2007, magenta line) and the updated estimate of 11.4 M⊙ (Ramachandran et al. 2022, green line). The dashed black horizontal line shows Δχ2 = 2.7, indicating 90 % confidence for one interesting parameter.
Current usage metrics show cumulative count of Article Views (full-text article views including HTML views, PDF and ePub downloads, according to the available data) and Abstracts Views on Vision4Press platform.
Data correspond to usage on the plateform after 2015. The current usage metrics is available 48-96 hours after online publication and is updated daily on week days.
Initial download of the metrics may take a while.