Open Access
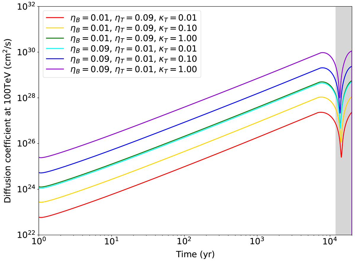
Fig. 4.

Download original image
Evolution of the spatial diffusion coefficient at 100 TeV in the different model setups. For reference, the effective value of the diffusion coefficient at 100 TeV for large-scale transport in the Galactic disk is on the order of 1030 cm2 s−1.
Current usage metrics show cumulative count of Article Views (full-text article views including HTML views, PDF and ePub downloads, according to the available data) and Abstracts Views on Vision4Press platform.
Data correspond to usage on the plateform after 2015. The current usage metrics is available 48-96 hours after online publication and is updated daily on week days.
Initial download of the metrics may take a while.