Open Access
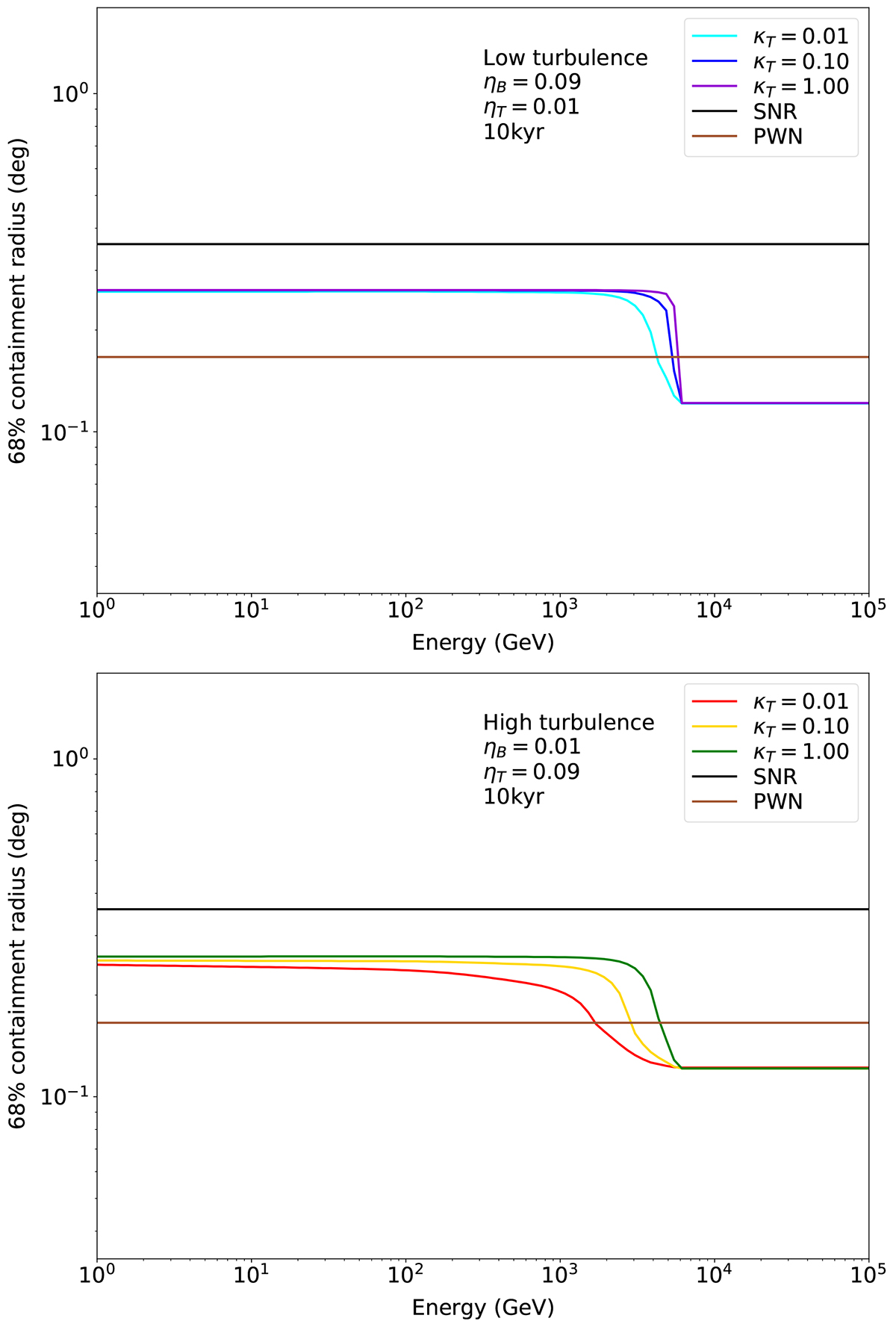
Fig. 8.

Download original image
The 68% containment radius of the PWN+SNR emission as a function of energy, for the different model setups and at a system age of 10 kyr. The gray and black dotted lines show the angular extent of the PWN and SNR, respectively, for reference.
Current usage metrics show cumulative count of Article Views (full-text article views including HTML views, PDF and ePub downloads, according to the available data) and Abstracts Views on Vision4Press platform.
Data correspond to usage on the plateform after 2015. The current usage metrics is available 48-96 hours after online publication and is updated daily on week days.
Initial download of the metrics may take a while.