Open Access
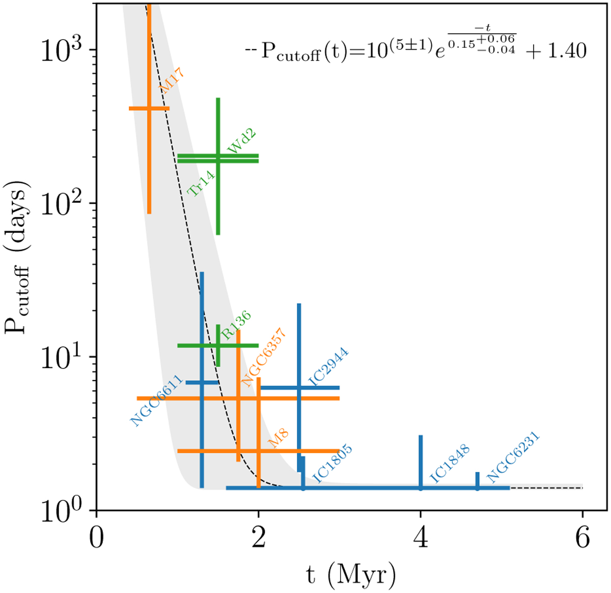
Fig. 5

Download original image
Pcutoff as a function of age of young clusters with fbin= 0.70. The uncertainties correspond to the distributions that represent the 16th to 84th percentile of the σ1D distribution. The solid line and shaded region show the fit to the data and its 1σ uncertainty.
Current usage metrics show cumulative count of Article Views (full-text article views including HTML views, PDF and ePub downloads, according to the available data) and Abstracts Views on Vision4Press platform.
Data correspond to usage on the plateform after 2015. The current usage metrics is available 48-96 hours after online publication and is updated daily on week days.
Initial download of the metrics may take a while.