Fig. 2.

Download original image
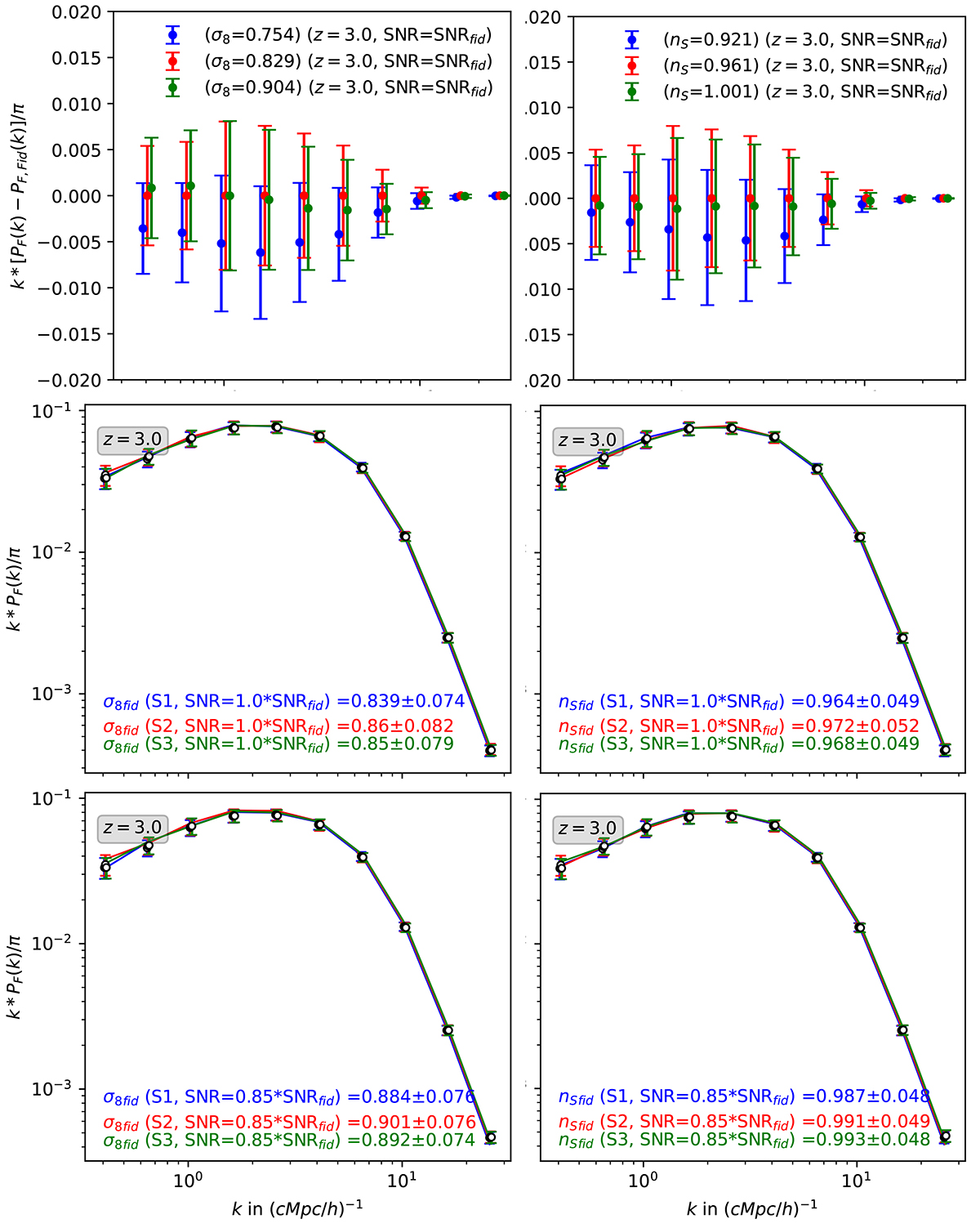
Same as Fig. 1 but with cosmological parameters σ8 and ns. In the top panels, however, we plot the difference between the power spectrum at a certain parameter value to the one at the fiducial parameter. This was done for a better visualization, since the variations in σ8 and nS do not cause an appreciable change in the power spectrum within the error bars shown.
Current usage metrics show cumulative count of Article Views (full-text article views including HTML views, PDF and ePub downloads, according to the available data) and Abstracts Views on Vision4Press platform.
Data correspond to usage on the plateform after 2015. The current usage metrics is available 48-96 hours after online publication and is updated daily on week days.
Initial download of the metrics may take a while.