Open Access

Fig. 9

image

Download original image

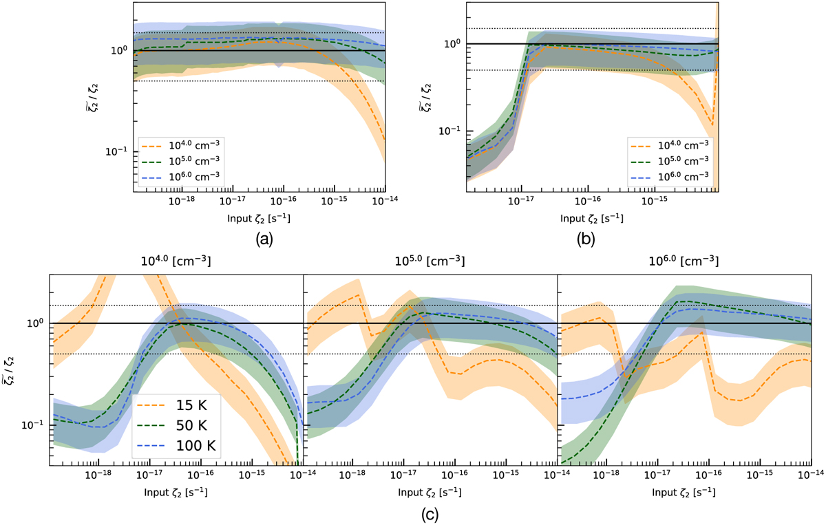
Comparison of ζ~2/ζ2$\[\widetilde{\zeta}_{2} / \zeta_{2}\]$ and uncertainties induced by gas phase abundances of CO, O, and N2 for (a) 3D-PDR simulations, (b) HMC simulations from UCLCHEM, and (c) isothermal cloud simulations from UCLCHEM. The dashed curves and the shadow regions represent the mean value and 1σ deviation from our calculation. Orange, green, and blue lines represent different densities (in (a) and (b)) or temperatures (in (c)). Dashed horizontal lines represent 50% deviation from the input ζ2.

Current usage metrics show cumulative count of Article Views (full-text article views including HTML views, PDF and ePub downloads, according to the available data) and Abstracts Views on Vision4Press platform.

Data correspond to usage on the plateform after 2015. The current usage metrics is available 48-96 hours after online publication and is updated daily on week days.

Initial download of the metrics may take a while.