Fig. 6

Download original image
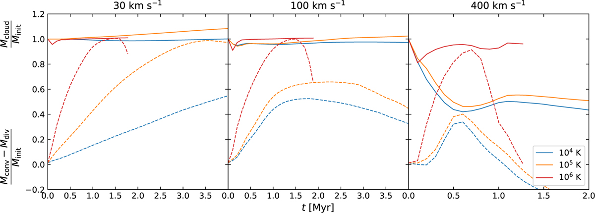
Evolution of cold gas mass. We show the ratio of cold gas mass to initial cloud mass (solid line) and the ratio of the difference between converging and diverging cold gas mass to the initial cloud mass (dashed line) for the Minit = 105 M⊙ simulations. The outflow velocity increases from left to right; colours show the outflow temperature as indicated in the legend. (For equivalent plots of clouds with lower masses, see Appendix D.)
Current usage metrics show cumulative count of Article Views (full-text article views including HTML views, PDF and ePub downloads, according to the available data) and Abstracts Views on Vision4Press platform.
Data correspond to usage on the plateform after 2015. The current usage metrics is available 48-96 hours after online publication and is updated daily on week days.
Initial download of the metrics may take a while.