Fig. 3

Download original image
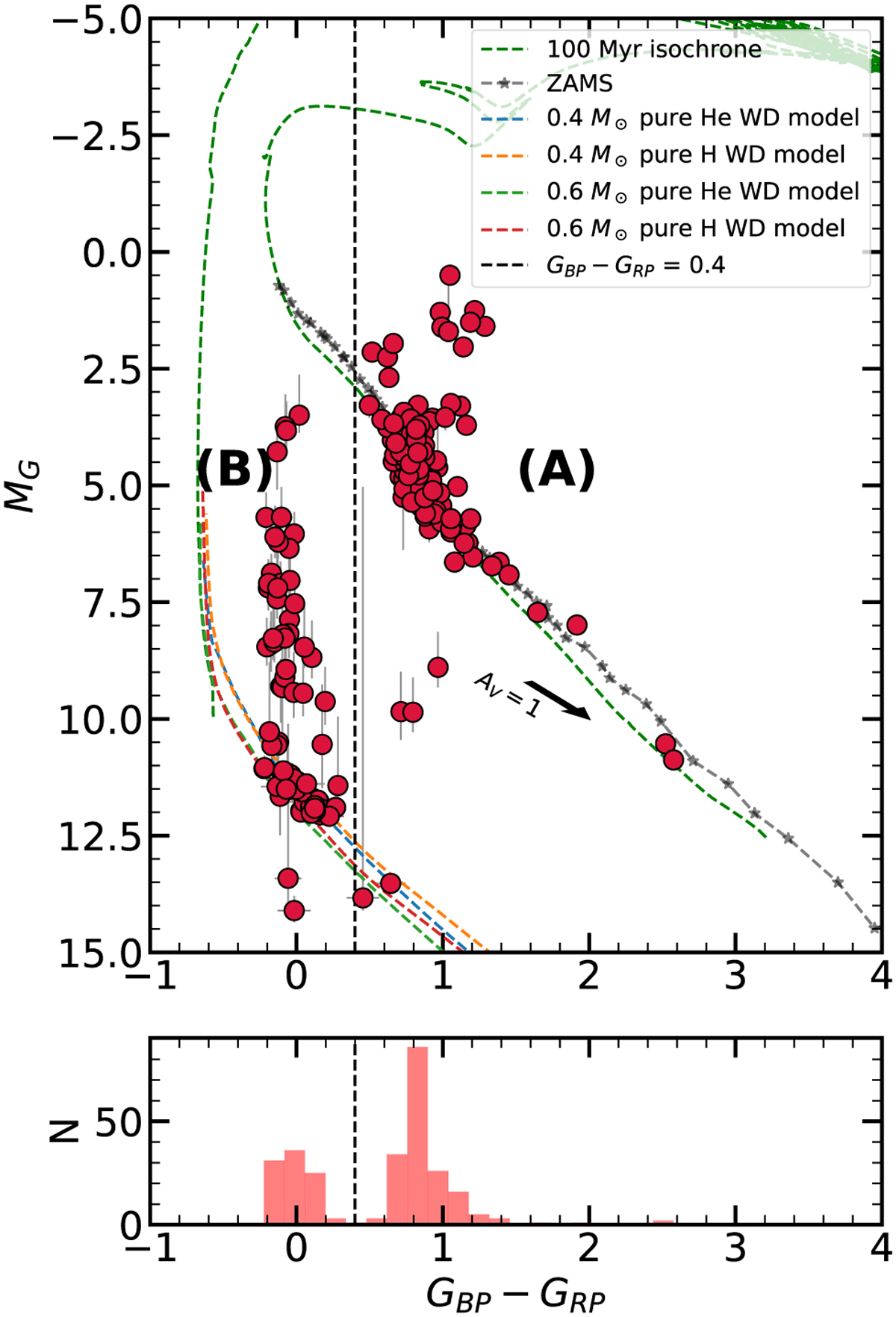
Extinction-corrected Gaia CMD of the 273 sources (filled red circles) with GBP − GRP on the x-axis and MG on the y-axis is shown in the top panel. The vertical black line that divides the CMD into two populations, is at GBP − GRP = 0.4. The black arrow shows the reddening vector for AV = 1 mag. The Number distribution of the 273 sources in the GBP − GRP colour is shown in the bottom panel
Current usage metrics show cumulative count of Article Views (full-text article views including HTML views, PDF and ePub downloads, according to the available data) and Abstracts Views on Vision4Press platform.
Data correspond to usage on the plateform after 2015. The current usage metrics is available 48-96 hours after online publication and is updated daily on week days.
Initial download of the metrics may take a while.