Fig. B.2.

Download original image
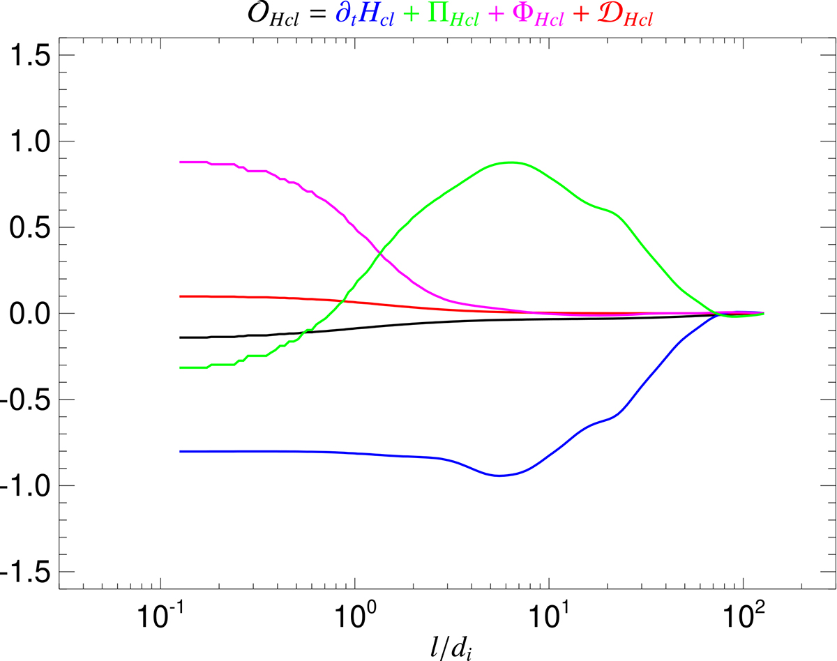
CG analysis of the cross helicity: Validity test of the isotropic CG 𝒪Hcl, Eq. (B.13), as a function of k at tΩi = 700 (black line) along with the different contributing terms: decay rate ∂tHcl (blue), MHD cascade rate ΠHcl (green), resistive dissipation rate 𝒟Hcl (red), and pressure-strain rate ΦHcl (magenta). All the quantities are given in units of the total (effective) cross-helicity dissipation rate ϵHc.
Current usage metrics show cumulative count of Article Views (full-text article views including HTML views, PDF and ePub downloads, according to the available data) and Abstracts Views on Vision4Press platform.
Data correspond to usage on the plateform after 2015. The current usage metrics is available 48-96 hours after online publication and is updated daily on week days.
Initial download of the metrics may take a while.