Open Access
Fig. 12

Download original image
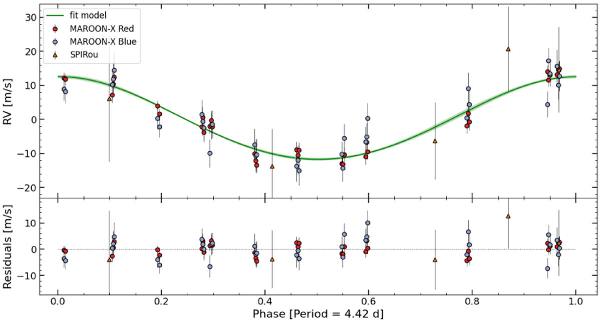
TOI-3568 RVs in phase with the orbit of the planet. In the top panel, the red and blue points show the MAROON-X RV data for the red and blue channels, and the orange points show the SPIRou RV data. The green line shows the best-fit orbit model for TOI-3568 b. The bottom panel shows the residuals.
Current usage metrics show cumulative count of Article Views (full-text article views including HTML views, PDF and ePub downloads, according to the available data) and Abstracts Views on Vision4Press platform.
Data correspond to usage on the plateform after 2015. The current usage metrics is available 48-96 hours after online publication and is updated daily on week days.
Initial download of the metrics may take a while.