Open Access

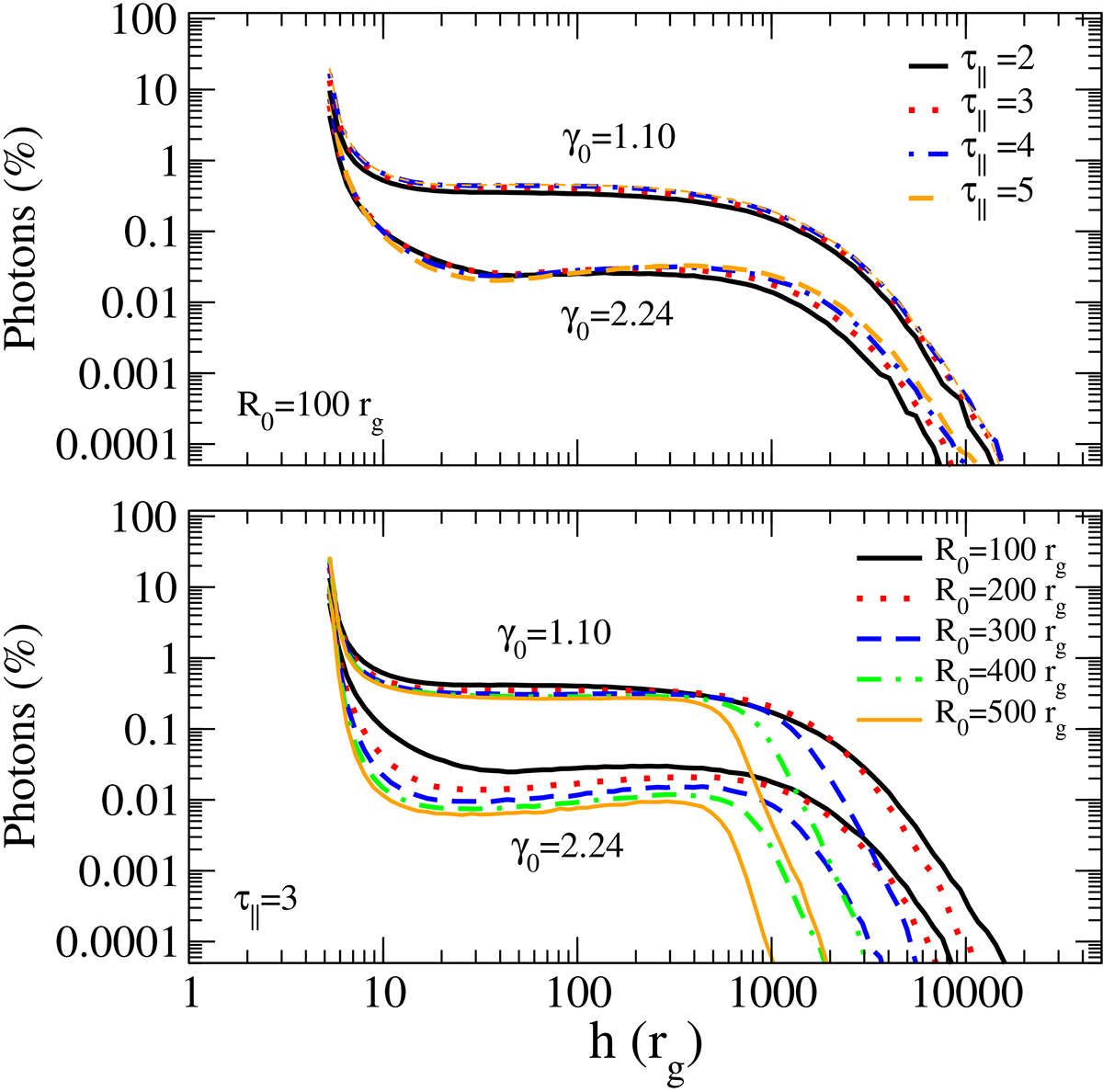
Fig. 10.

image

Download original image

Fraction of photons that hit the accretion disk over the total number of photons as a function of distance from the black hole at which they escape, h, for different values of the optical depth, τ, and radius, R0, of the outflow. The distribution is shown for a mildly relativistic outflow (γ0 = 2.24, i.e., v0 = 0.8c) and a nonrelativistic outflow (γ0 = 1.10, i.e., v0 = 0.1c).

Current usage metrics show cumulative count of Article Views (full-text article views including HTML views, PDF and ePub downloads, according to the available data) and Abstracts Views on Vision4Press platform.

Data correspond to usage on the plateform after 2015. The current usage metrics is available 48-96 hours after online publication and is updated daily on week days.

Initial download of the metrics may take a while.