Open Access

Fig. 12.

image

Download original image

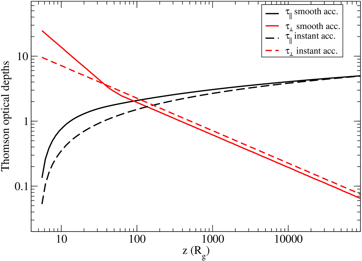
Thomson optical depths (parallel and perpendicular to the outflow) as functions of distance from the black hole. We show two cases: instant acceleration of the outflow (dashed lines) and when an acceleration region is present, i.e., smooth acceleration (solid lines). We used a model with τ = 5 and R0 = 100 Rg, where Rg is the gravitational radius.

Current usage metrics show cumulative count of Article Views (full-text article views including HTML views, PDF and ePub downloads, according to the available data) and Abstracts Views on Vision4Press platform.

Data correspond to usage on the plateform after 2015. The current usage metrics is available 48-96 hours after online publication and is updated daily on week days.

Initial download of the metrics may take a while.