Fig. B.2.

Download original image
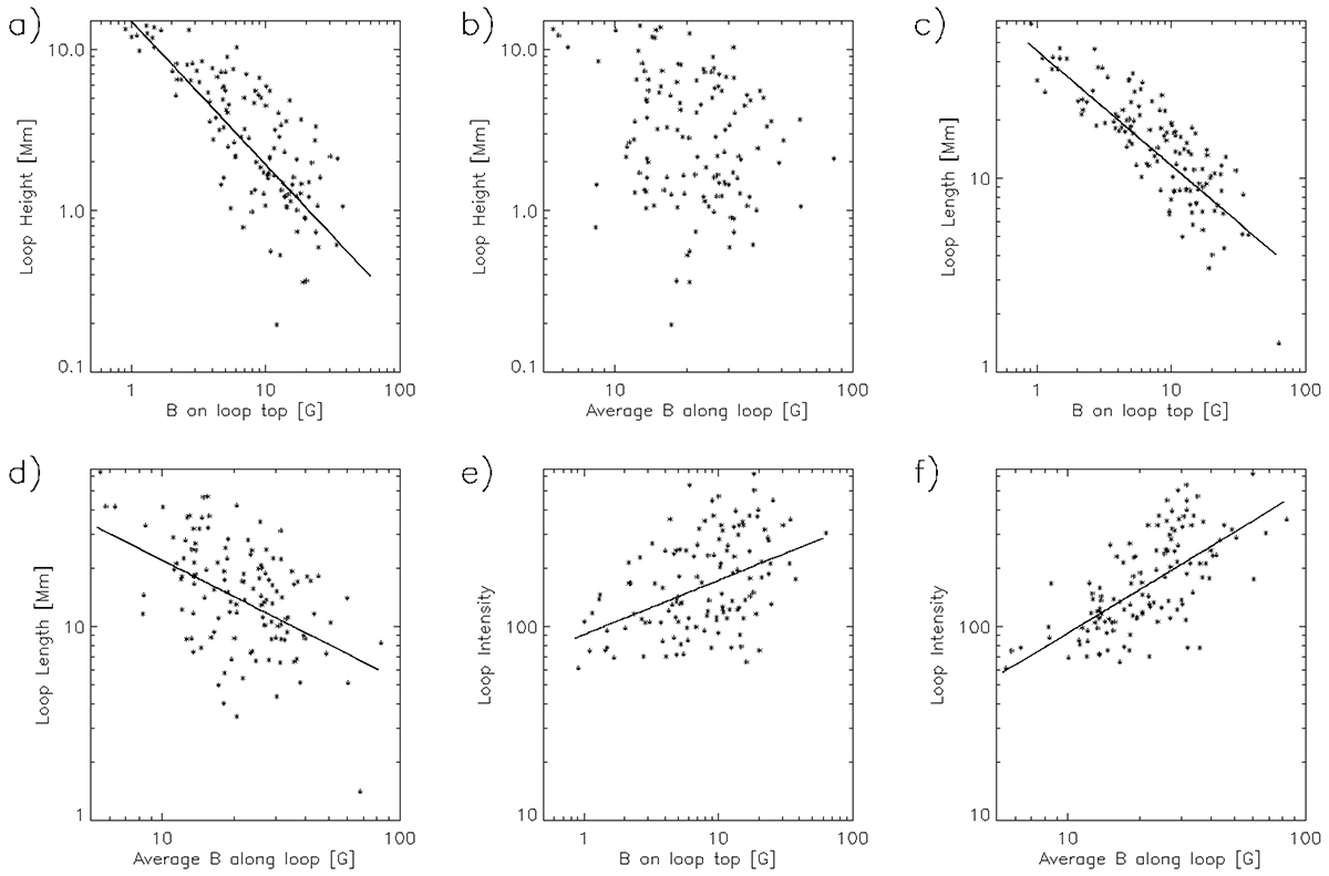
Scatter plots of some statistical properties for 126 loops. (a) Magnetic field strength at the loop top vs. loop height (Pearson correlation coefficient cP of −0.59), (b) Average magnetic field strength along the loop vs. loop height (cP = −0.30) (c) Magnetic field strength on loop top vs. loop length (cP = −0.64), (d) Average magnetic field strength along the loop vs. loop length (cP = −0.44), (e) Magnetic field strength on loop top vs. loop average intensity (cP = 0.35), (f) Average magnetic field strength along the loop top vs. loop average intensity (cP = 0.58).
Current usage metrics show cumulative count of Article Views (full-text article views including HTML views, PDF and ePub downloads, according to the available data) and Abstracts Views on Vision4Press platform.
Data correspond to usage on the plateform after 2015. The current usage metrics is available 48-96 hours after online publication and is updated daily on week days.
Initial download of the metrics may take a while.