Fig. 3.

Download original image
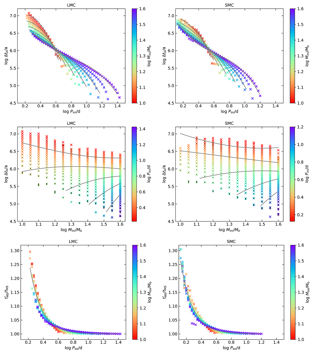
Duration of Case A mass transfer (ΔtA) in logarithmic years as functions of initial orbital period Pini with the initial donor mass Mini colour-coded (top) and as functions of the initial donor mass, where models with the same initial orbital period are indicated with the same colour (middle). The bottom panels show the ratio of the Case A donor core hydrogen-burning lifetime t′MS to the core hydrogen-burning lifetime tMS of a single star of the same initial mass, as a function of the initial orbital period and in the top plots we indicted in black its interquartile range. Each cross represents the median value of ΔtA across different initial mass ratios. In the top plot we indicted in black the first and third quartile. Grey lines indicate our best fit to the data. The panels on the left show LMC models and on the right is SMC.
Current usage metrics show cumulative count of Article Views (full-text article views including HTML views, PDF and ePub downloads, according to the available data) and Abstracts Views on Vision4Press platform.
Data correspond to usage on the plateform after 2015. The current usage metrics is available 48-96 hours after online publication and is updated daily on week days.
Initial download of the metrics may take a while.