Open Access

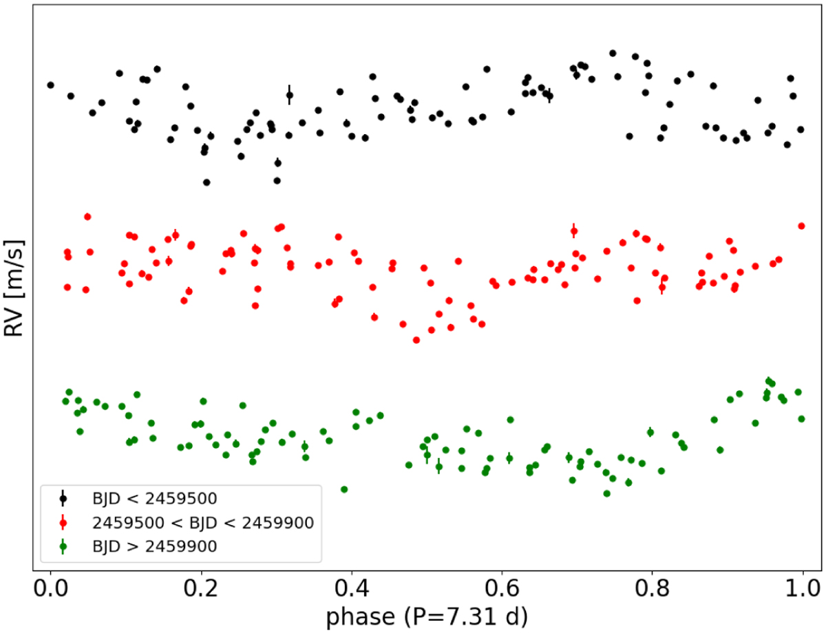
Fig. 5

image

Download original image

RVs (SERVAL extraction, wavelength range nr. 3) phase-folded to the stellar rotation period (same epoch used as phase=0 for the three series). Data are divided into three sub-samples (with offsets applied for better readability) to show how the variability due to stellar activity changes on a seasonal basis.

Current usage metrics show cumulative count of Article Views (full-text article views including HTML views, PDF and ePub downloads, according to the available data) and Abstracts Views on Vision4Press platform.

Data correspond to usage on the plateform after 2015. The current usage metrics is available 48-96 hours after online publication and is updated daily on week days.

Initial download of the metrics may take a while.