Fig. 3.

Download original image
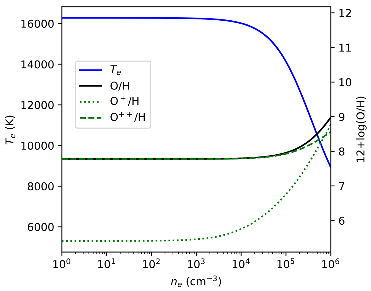
Electron temperature, Te, as a function of density, ne, based on the observed nebular and auroral [O III], [O II], and Hβ line fluxes following the prescription by Izotov et al. (2006). The derived electron temperature is Te = (1.6 ± 0.15)×104 K, indicating an oxygen abundance of 12 + log(O/H) = 7.78 ± 0.10 for any electron densities ne < 104 cm−3.
Current usage metrics show cumulative count of Article Views (full-text article views including HTML views, PDF and ePub downloads, according to the available data) and Abstracts Views on Vision4Press platform.
Data correspond to usage on the plateform after 2015. The current usage metrics is available 48-96 hours after online publication and is updated daily on week days.
Initial download of the metrics may take a while.