Fig. 3.

Download original image
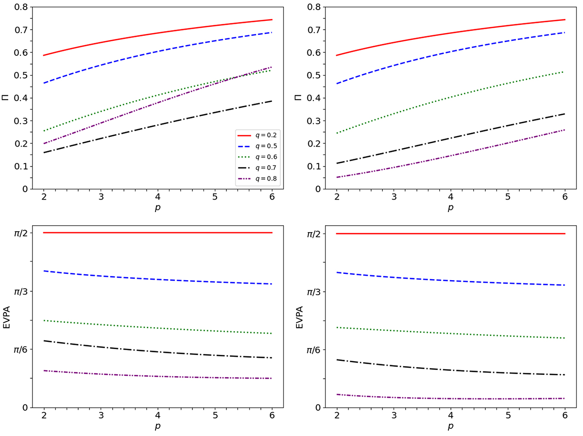
Polarization degree, Π (top panels) and EVPA (bottom panels) as a function of the power-law index, p, of the electron energy distribution. When EVPA = 0 and EVPA = π/2, the EVPA is respectively parallel and perpendicular to the projection of the jet axis on the plane of the sky. In the left panels the proper number density is assumed to be constant, whereas in the right panels the magnetization is assumed to be constant. The viewing angle is assumed to be θobs = 0.1 rad.
Current usage metrics show cumulative count of Article Views (full-text article views including HTML views, PDF and ePub downloads, according to the available data) and Abstracts Views on Vision4Press platform.
Data correspond to usage on the plateform after 2015. The current usage metrics is available 48-96 hours after online publication and is updated daily on week days.
Initial download of the metrics may take a while.