Open Access
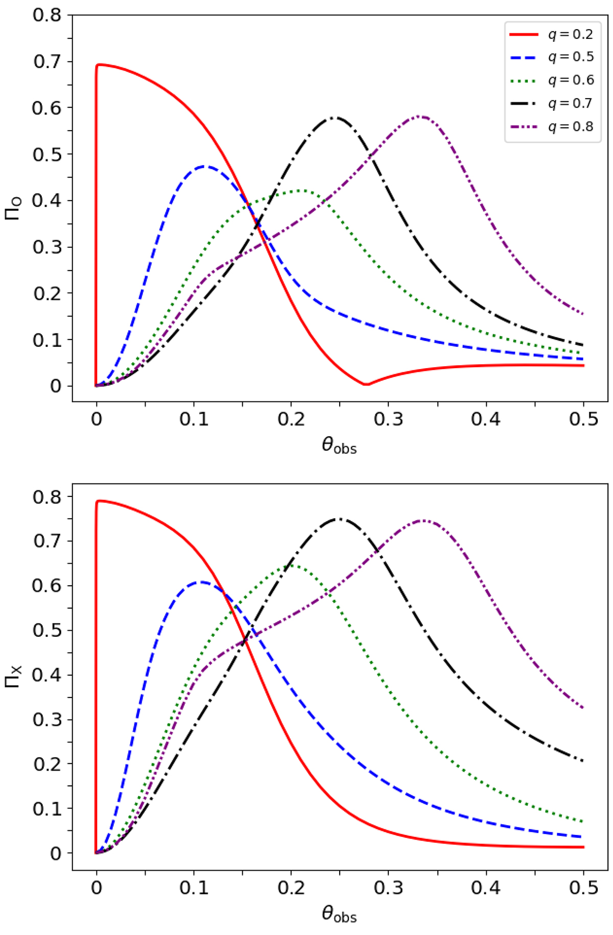
Fig. A.1.

Download original image
Optical polarization degree, ΠO = Πp = 2 (top panel) and X-ray polarization degree, ΠX = Πp = 4 (bottom panel) as a function of the viewing angle, θobs, which is expressed in radians. The proper number density of the emitting electrons is assumed to be constant.
Current usage metrics show cumulative count of Article Views (full-text article views including HTML views, PDF and ePub downloads, according to the available data) and Abstracts Views on Vision4Press platform.
Data correspond to usage on the plateform after 2015. The current usage metrics is available 48-96 hours after online publication and is updated daily on week days.
Initial download of the metrics may take a while.