Open Access
Fig. 8.

Download original image
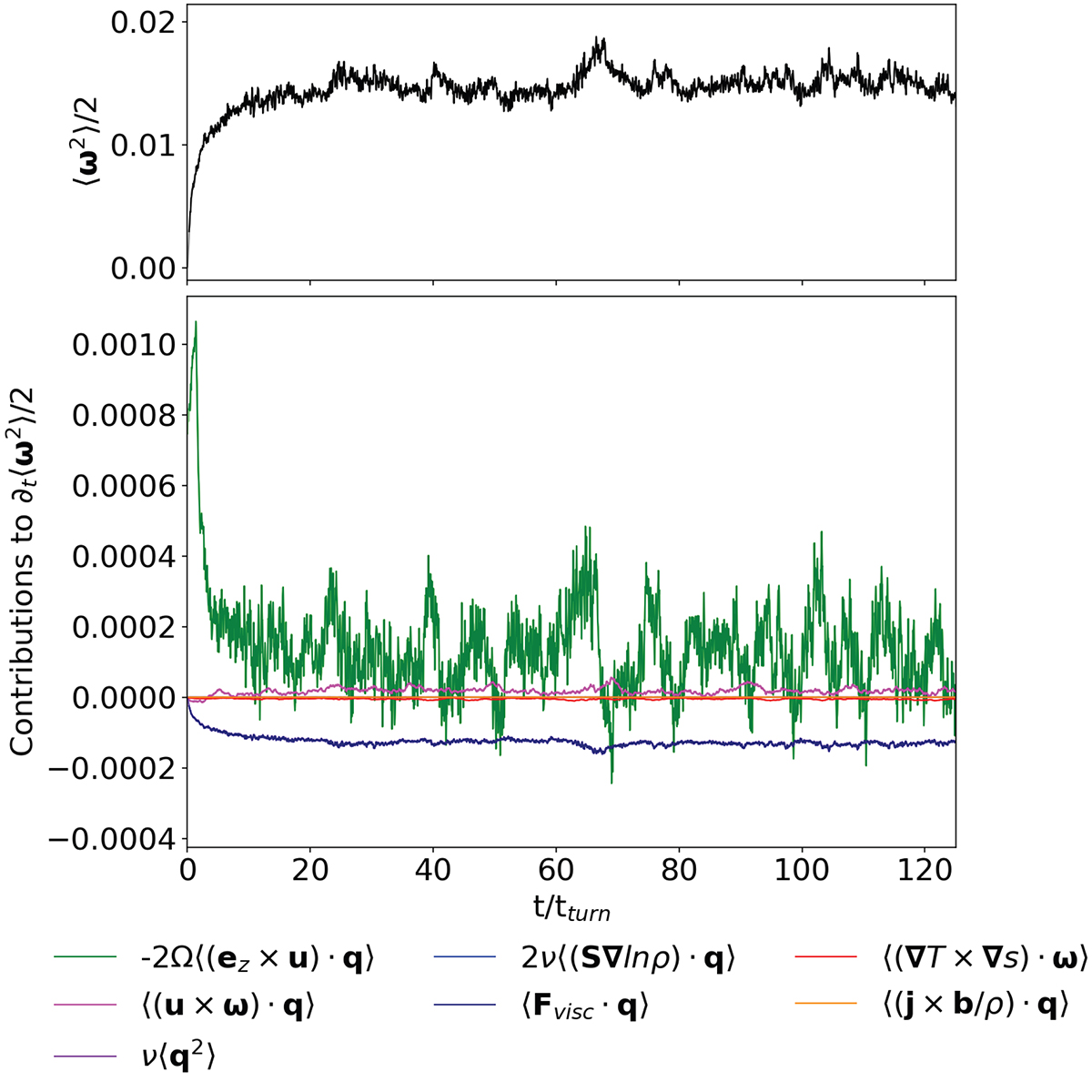
Time evolution for ωrms2/2 and vorticity growth terms for a non-isothermal rotating run with R = 0.5 and forcing in acceleration form. The notation is the same as in Fig. 7, and similarly 2ν⟨S∇lnρ ⋅ q⟩ and ⟨(j × b/ρ)⋅q⟩ overlap near 0, also making ⟨Fvisc ⋅ q⟩ overlap with ν⟨q2⟩.
Current usage metrics show cumulative count of Article Views (full-text article views including HTML views, PDF and ePub downloads, according to the available data) and Abstracts Views on Vision4Press platform.
Data correspond to usage on the plateform after 2015. The current usage metrics is available 48-96 hours after online publication and is updated daily on week days.
Initial download of the metrics may take a while.