Fig. 1.

Download original image
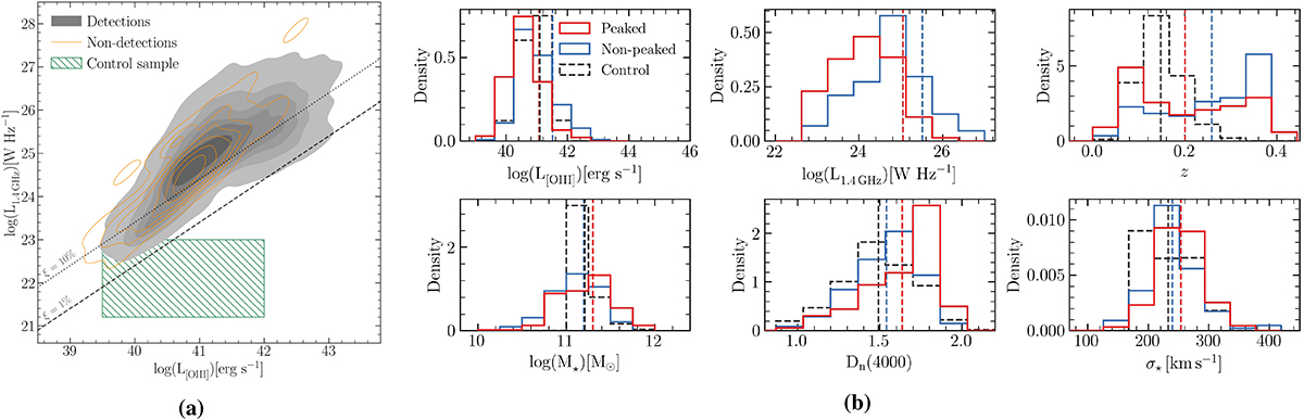
Properties of the radio AGN sample. (a): L1.4 GHz vs L[O III] for the full radio AGN sample, with [O III] detections and non-detections shown separately. In the case of [O III] non-detections, the contour plot shows the upper limits for L[O III]. The green hatched region marks the luminosity space occupied by the control sample selected from Mullaney et al. (2013), described in Appendix B. The dashed and dotted lines show the radio luminosity expected from the interaction of AGN-driven winds with the ISM from the model of Nims et al. (2015), for 1% and 10% of the shock energy going into relativistic electrons. (b) Distributions of host galaxy properties for the peaked and non-peaked radio AGN in the low redshift (0.02 < z < 0.4) sample. Only the [O III] detections are shown. Vertical lines show the mean values of the distributions. The same plot for the high redshift sample is shown in Fig. C.2.
Current usage metrics show cumulative count of Article Views (full-text article views including HTML views, PDF and ePub downloads, according to the available data) and Abstracts Views on Vision4Press platform.
Data correspond to usage on the plateform after 2015. The current usage metrics is available 48-96 hours after online publication and is updated daily on week days.
Initial download of the metrics may take a while.