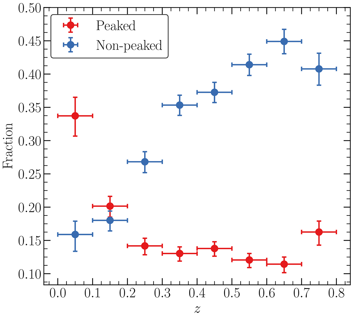
Fig. 4.

Download original image
Fraction of PS and NPS sources in redshift (z) bins for the full radio AGN sample. The fraction is the number of PS (or NPS) sources divided by the total number of sources in the bin (of all spectral shapes). The horizontal error bars show widths of the redshift bins used to estimate the fraction and the vertical error bars show uncertainties on the fraction of PS and NPS sources in the bin.
Current usage metrics show cumulative count of Article Views (full-text article views including HTML views, PDF and ePub downloads, according to the available data) and Abstracts Views on Vision4Press platform.
Data correspond to usage on the plateform after 2015. The current usage metrics is available 48-96 hours after online publication and is updated daily on week days.
Initial download of the metrics may take a while.