Fig. 9.

Download original image
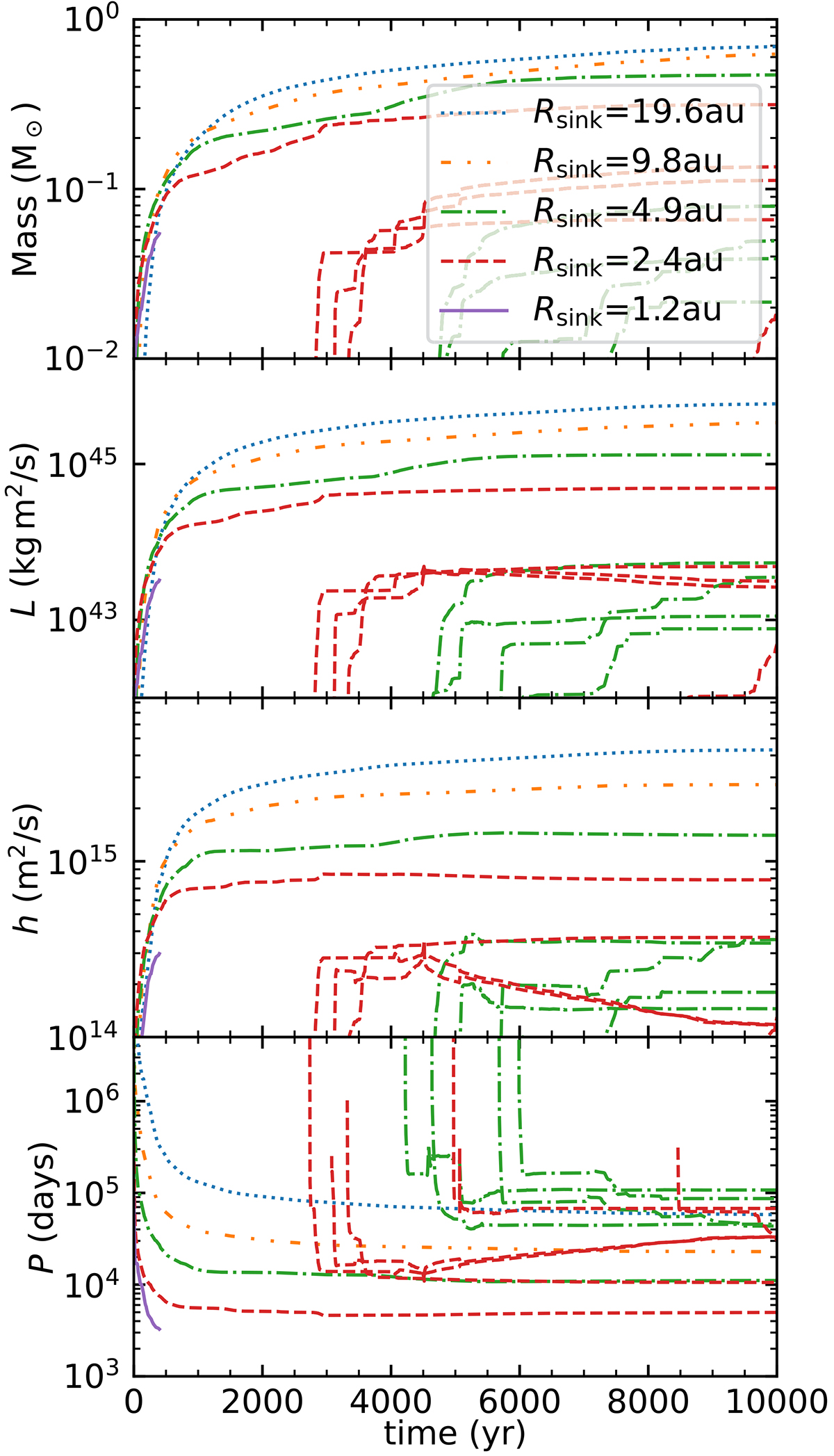
Time evolution of the sink particle mass (top), angular momentum (second panel), mass-specific angular momentum (third panel), and rotation period (bottom) of the sink particles, comparing simulations with sink particle radii of 19.6 AU (dotted blue), 9.8 AU (dash-dot-dot orange), 4.9 AU (dash-dotted green), 2.4 AU (dashed red), and 1.2 AU (solid purple line).
Current usage metrics show cumulative count of Article Views (full-text article views including HTML views, PDF and ePub downloads, according to the available data) and Abstracts Views on Vision4Press platform.
Data correspond to usage on the plateform after 2015. The current usage metrics is available 48-96 hours after online publication and is updated daily on week days.
Initial download of the metrics may take a while.