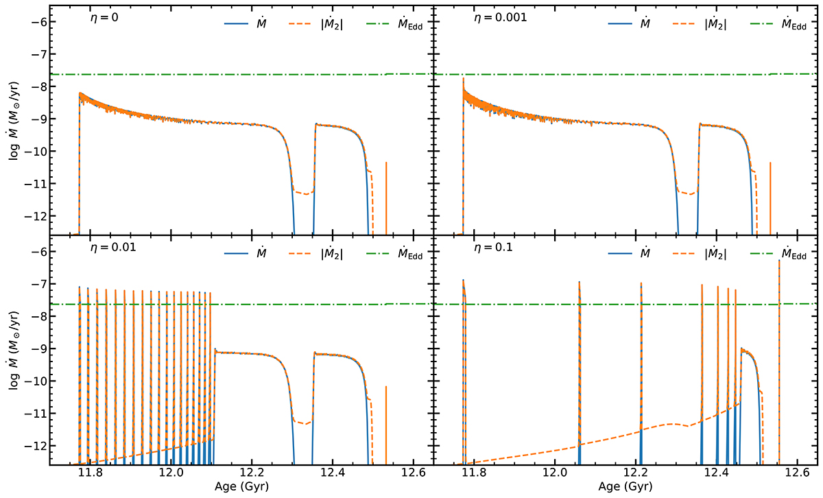
Fig. 2.

Download original image
Evolution of the mass-transfer rate for different η. The initial companion mass is M2 = 1.0 M⊙, and the initial orbital period is log Porb/days = 0.5. The initial magnetic moment of the NS is μi = 1.0 × 1030 G cm3. The blue, dashed orange, and dash-dotted green lines show the mass-transfer rate, the mass-loss rate of the companion, and the Eddington limit, respectively.
Current usage metrics show cumulative count of Article Views (full-text article views including HTML views, PDF and ePub downloads, according to the available data) and Abstracts Views on Vision4Press platform.
Data correspond to usage on the plateform after 2015. The current usage metrics is available 48-96 hours after online publication and is updated daily on week days.
Initial download of the metrics may take a while.